【LeetCode刷题】NO.27---第92题

112 阅读1分钟

Offer 驾到,掘友接招!我正在参与2022春招打卡活动,点击查看活动详情

一.题目

92. 反转链表 II 给你单链表的头指针 head 和两个整数 left 和 right ,其中 left <= right 。请你反转从位置 left 到位置right 的链表节点,返回 反转后的链表 。

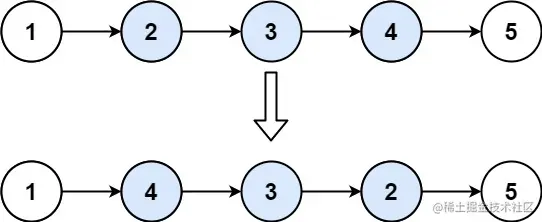
示例 1:

image.png

输入: head = [1,2,3,4,5], left = 2, right = 4
输出: [1,4,3,2,5]

示例 2:

输入: head = [5], left = 1, right = 1
输出: [5]

提示:

  • 链表中节点数目为 n
  • 1 <= n <= 500
  • -500 <= Node.val <= 500
  • 1 <= left <= right <= n

二、思路分析:

很明显,这是上一篇文章题目的引申版,上一篇是翻转整个链表,而这道题目是要求翻转部分的链表。同样,对于链表操作的问题,想到了指针进行求解,那么这道题的解题步骤基本分为三步:

  • 首先创建虚拟结点dummy以防止头结点被改变而出错
  • 随后让另外创建的指针指向left的前一个结点准备进行操作
  • [left,right]区间内进行反转结点的操作,具体如下图所示:

image.png 在循环中一直进行上述图中的操作即可完成反转结点的要求。

三、代码:

/**
 * Definition for singly-linked list.
 * function ListNode(val, next) {
 *     this.val = (val===undefined ? 0 : val)
 *     this.next = (next===undefined ? null : next)
 * }
 */
/**
 * @param {ListNode} head
 * @param {number} left
 * @param {number} right
 * @return {ListNode}
 */
var reverseBetween = function(head, left, right) {
    
    if(left == right) return head
    if(head == null) return head
    let dummyNode = new ListNode(-1)
    dummyNode.next = head
    let pre = dummyNode
    //先让指针移动到left处
    for(let i=0 ; i<left-1 ; i++){
        pre = pre.next
    }
    let cur = pre.next
    for(let i=left ; i<right ; i++){
        let Nnext = cur.next
        cur.next = Nnext.next
        Nnext.next = pre.next
        pre.next = Nnext
    }
    return dummyNode.next
};

四、总结:

这道题原本想利用递归进行问题的求解,但是发现递归的思路很复杂因为有前驱后驱结点的存在,所以利用指针的方法就能够避免这些问题,迭代求解思路很很清晰。