【机器学习|数学基础】Mathematics for Machine Learning系列之图论(12):有向欧拉图

238 阅读2分钟

Offer 驾到,掘友接招!我正在参与2022春招打卡活动,点击查看活动详情。”

@TOC

在这里插入图片描述

前言

Hello!小伙伴! 非常感谢您阅读海轰的文章,倘若文中有错误的地方,欢迎您指出~   自我介绍 ଘ(੭ˊᵕˋ)੭ 昵称:海轰 标签:程序猿|C++选手|学生 简介:因C语言结识编程,随后转入计算机专业,有幸拿过一些国奖、省奖...已保研。目前正在学习C++/Linux/Python 学习经验:扎实基础 + 多做笔记 + 多敲代码 + 多思考 + 学好英语!   机器学习小白阶段 文章仅作为自己的学习笔记 用于知识体系建立以及复习 知其然 知其所以然!

系列文章

【机器学习|数学基础】Mathematics for Machine Learning系列之图论(1):图的基本概念

【机器学习|数学基础】Mathematics for Machine Learning系列之图论(2):图的矩阵表示

【机器学习|数学基础】Mathematics for Machine Learning系列之图论(3):路径与连通

【机器学习|数学基础】Mathematics for Machine Learning系列之图论(4):有向图的连通性

【机器学习|数学基础】Mathematics for Machine Learning系列之图论(5):树及其性质

【机器学习|数学基础】Mathematics for Machine Learning系列之图论(6):生成树算法

【机器学习|数学基础】Mathematics for Machine Learning系列之图论(7):连通度

【机器学习|数学基础】Mathematics for Machine Learning系列之图论(8):割边、割集、割点

【机器学习|数学基础】Mathematics for Machine Learning系列之图论(9):匹配的概念

【机器学习|数学基础】Mathematics for Machine Learning系列之图论(10):匹配基本定理

【机器学习|数学基础】Mathematics for Machine Learning系列之图论(11):欧拉图

6.3 有向欧拉图

定于 6.2

G=(V,E)G=(V, E)是弱连通有向图

有向巡回

经过GG的每条弧至少一次的有向闭通路成称为有向巡回

有向欧拉巡回

经过GG的每条弧正好一次的有向巡回称为有向欧拉巡回

有向欧拉图

存在有向欧拉巡回的有向图称为有向欧拉图

有向欧拉道路

经过GG的每条弧正好一次的有向道路称为有向欧拉道路

定理 6.4

GG是弱连通有向图,则下述命题等价

  1. GG是有向欧拉图
  2. vV(G),d(v)=d+(v)\forall v \in V(G), d^{-}(v)=d^{+}(v)
  3. G=i=1nCiG=\bigcup^{n}_{i=1}C_i,其中CiC_i是有向圈,且E(Ci)E(Cj)=ϕ,ii<jnE(C_i)\cap E(C_j)=\phi,i\leq i < j \leq nnn为某个自然数

推论 6.4

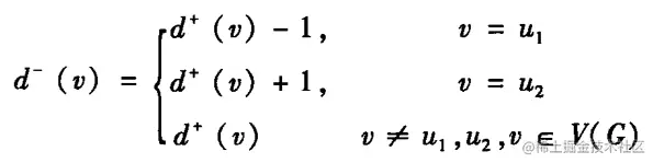
有向圈GG有以u1u_1为起点,以u2u_2为终点的有向欧拉道路的充要条件是:GG是弱连通有向图,且满足

在这里插入图片描述

结语

说明:

  • 参考于 课本《图论》
  • 配合书中概念讲解 结合了自己的一些理解及思考

文章仅作为学习笔记,记录从0到1的一个过程

希望对您有一点点帮助,如有错误欢迎小伙伴指正

在这里插入图片描述