LeetCode - #25 K 个一组翻转链表

229 阅读2分钟

Offer 驾到,掘友接招!我正在参与2022春招打卡活动,点击查看活动详情

前言

我们社区陆续会将顾毅(Netflix 增长黑客,《iOS 面试之道》作者,ACE 职业健身教练。微博:@故胤道长)的 Swift 算法题题解整理为文字版以方便大家学习与阅读。

LeetCode 算法到目前我们已经更新了 24 期,我们会保持更新时间和进度(周一、周三、周五早上 9:00 发布),每期的内容不多,我们希望大家可以在上班路上阅读,长久积累会有很大提升。

不积跬步,无以至千里;不积小流,无以成江海,Swift社区 伴你前行。如果大家有建议和意见欢迎在文末留言,我们会尽力满足大家的需求。

难度水平:困难

1. 描述

给你一个链表,每 k 个节点一组进行翻转,请你返回翻转后的链表。

k 是一个正整数,它的值小于或等于链表的长度。

如果节点总数不是 k 的整数倍,那么请将最后剩余的节点保持原有顺序。

进阶:

  • 你可以设计一个只使用常数额外空间的算法来解决此问题吗?
  • 你不能只是单纯的改变节点内部的值,而是需要实际进行节点交换。

2. 示例

示例 1

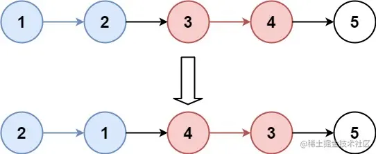
输入:head = [1,2,3,4,5], k = 2
输出:[2,1,4,3,5]

示例 2

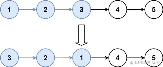
输入:head = [1,2,3,4,5], k = 3
输出:[3,2,1,4,5]

示例 3

输入:head = [1,2,3,4,5], k = 1
输出:[1,2,3,4,5]

示例 4

输入:head = [1], k = 1
输出:[1]

约束条件:

  • 列表中节点的数量在范围 sz
  • 1 <= sz <= 5000
  • 0 <= Node.val <= 1000
  • 1 <= k <= sz

3. 答案

/**
 * Definition for singly-linked list.
 * struct ListNode {
 *     int val;
 *     ListNode *next;
 *     ListNode() : val(0), next(nullptr) {}
 *     ListNode(int x) : val(x), next(nullptr) {}
 *     ListNode(int x, ListNode *next) : val(x), next(next) {}
 * };
 */
class ReverseNodesInKGroup {
    func reverseKGroup(_ head: ListNode?, _ k: Int) -> ListNode? {
        let dummy = ListNode(0)
        dummy.next = head
        
        var prev = dummy                             // prev = A
        while prev.next != nil {                     // A->B->C->D->E => A->D->C->B->E
            var groupTail : ListNode? = prev
            for _ in 1...k {
                groupTail = groupTail?.next
            }
            guard let _ = groupTail else {            // groupTail = D
                break
            }
            
            let nextGroupHead = groupTail!.next      // nextGroupHead = E
            var last = nextGroupHead                 // last = E
            var current : ListNode? = prev.next      // current = B
            while current != nil && current !== nextGroupHead {
                let next = current!.next             // next = C
                current!.next = last                 // B -> E
                last = current                       // last = B
                current = next                       // current = C
            }
            
            groupTail = prev.next
            prev.next = last
            prev = groupTail!
        }
        
        return dummy.next
    }
}
  • 主要思想:在一个循环中反转一组。 从后往前构造一个反向组。
  • 时间复杂度: O(n)
  • 空间复杂度: O(1)

该算法题解的仓库:LeetCode-Swift

点击前往 LeetCode 练习

关于我们

我们是由 Swift 爱好者共同维护,我们会分享以 Swift 实战、SwiftUI、Swift 基础为核心的技术内容,也整理收集优秀的学习资料。

后续还会翻译大量资料到我们公众号,有感兴趣的朋友,可以加入我们。