[路飞]leetcode-687.最长同值路径

138 阅读1分钟

给定一个二叉树的 root ,返回 最长的路径的长度 ,这个路径中的 每个节点具有相同值 。 这条路径可以经过也可以不经过根节点。

两个节点之间的路径长度 由它们之间的边数表示。力扣原文

 

示例 1:

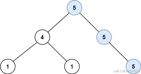
输入: root = [5,4,5,1,1,5]
输出: 2

示例 2:

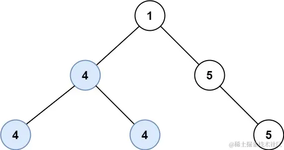
输入: root = [1,4,5,4,4,5]
输出: 2

 

解题:

var longestUnivaluePath = function (root) {
  let max = 0;
  const findLong = (node) => {
    if (node === null) return 0;
    if (node.left) {
      node.left.parentVal = node.val;
    }
    if (node.right) {
      node.right.parentVal = node.val;
    }
    const l = findLong(node.left),
      r = findLong(node.right);
      max = Math.max(max, l + r);
    if (node.parentVal === node.val) return Math.max(l, r) + 1;

    return 0;
  };
  findLong(root);
  return max;
};