推荐算法!基于隐语义模型的协同过滤推荐之商品相似度矩阵

322 阅读3分钟

项目采用ALS作为协同过滤算法,根据MongoDB中的用户评分表计算离线的用户商品推荐列表以及商品相似度矩阵。

通过ALS计算商品相似度矩阵,该矩阵用于查询当前商品的相似商品并为实时推荐系统服务。

离线计算的ALS 算法,算法最终会为用户、商品分别生成最终的特征矩阵,分别是表示用户特征矩阵的U(m x k)矩阵,每个用户有 k个特征描述;表示物品特征矩阵的V(n x k)矩阵,每个物品也由 k 个特征描述。

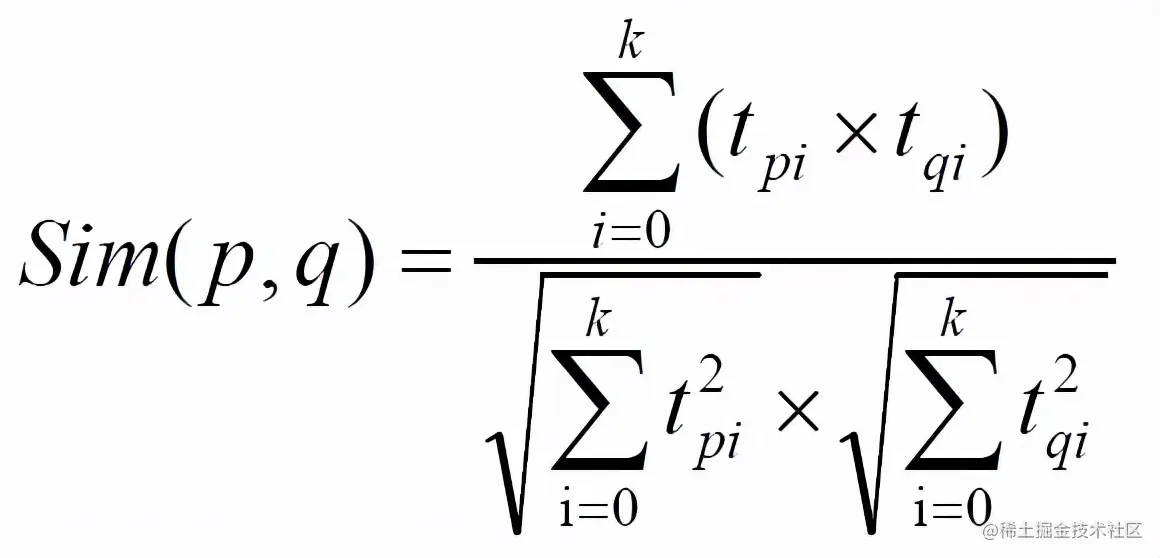
V(n x k)表示物品特征矩阵,每一行是一个 k 维向量,虽然我们并不知道每一个维度的特征意义是什么,但是k 个维度的数学向量表示了该行对应商品的特征。

所以,每个商品用V(n x k)每一行的向量表示其特征,于是任意两个商品 p:特征向量为,商品q:特征向量为之间的相似度sim(p,q)可以使用和的余弦值来表示:

推荐算法!基于隐语义模型的协同过滤推荐之商品相似度矩阵

数据集中任意两个商品间相似度都可以由公式计算得到,商品与商品之间的相似度在一段时间内基本是固定值。最后生成的数据保存到MongoDB的ProductRecs表中。

推荐算法!基于隐语义模型的协同过滤推荐之商品相似度矩阵

核心代码如下:

//计算商品相似度矩阵


//获取商品的特征矩阵,数据格式 RDD[(scala.Int, scala.Array[scala.Double])]


val productFeatures = model.productFeatures.map{case (productId,features) =>


  (productId, new DoubleMatrix(features))


}


// 计算笛卡尔积并过滤合并
val productRecs = productFeatures.cartesian(productFeatures)


  .filter{case (a,b) => a._1 != b._1} 
  .map{case (a,b) =>


    val simScore = this.consinSim(a._2,b._2) // 求余弦相似度


    (a._1,(b._1,simScore))


  }.filter(_._2._2 > 0.6)   
  .groupByKey()            
  .map{case (productId,items) =>


    ProductRecs(productId,items.toList.map(x => Recommendation(x._1,x._2)))


  }.toDF()


productRecs


  .write


  .option("uri", mongoConfig.uri)


  .option("collection",PRODUCT_RECS)


  .mode("overwrite")


  .format("com.mongodb.spark.sql")


  .save()

其中,consinSim是求两个向量余弦相似度的函数,代码实现如下:

//计算两个商品之间的余弦相似度
def consinSim(product1: DoubleMatrix, product2:DoubleMatrix): Double ={
  product1.dot(product2) / ( product1.norm2()  * product2.norm2() )
}

在上述模型训练的过程中,我们直接给定了隐语义模型的rank,iterations,lambda三个参数。对于我们的模型,这并不一定是最优的参数选取,所以我们需要对模型进行评估。通常的做法是计算均方根误差(RMSE),考察预测评分与实际评分之间的误差。

推荐算法!基于隐语义模型的协同过滤推荐之商品相似度矩阵

有了RMSE,我们可以就可以通过多次调整参数值,来选取RMSE最小的一组作为我们模型的优化选择。

在scala/com.atguigu.offline/下新建单例对象ALSTrainer,代码主体架构如下:

def main(args: Array[String]): Unit = {


  val config = Map(


    "spark.cores" -> "local[*]",


    "mongo.uri" -> "mongodb://localhost:27017/recommender",


    "mongo.db" -> "recommender"


  )


  //创建SparkConf


  val sparkConf = new SparkConf().setAppName("ALSTrainer").setMaster(config("spark.cores"))


  //创建SparkSession


  val spark = SparkSession.builder().config(sparkConf).getOrCreate()

  val mongoConfig = MongoConfig(config("mongo.uri"),config("mongo.db"))

  import spark.implicits._

  //加载评分数据


  val ratingRDD = spark


    .read


    .option("uri",mongoConfig.uri)


    .option("collection",OfflineRecommender.MONGODB_RATING_COLLECTION)


    .format("com.mongodb.spark.sql")


    .load()


    .as[ProductRating]


    .rdd


    .map(rating => Rating(rating.userId,rating.productId,rating.score)).cache()


  // 将一个RDD随机切分成两个RDD,用以划分训练集和测试集

  val splits = ratingRDD.randomSplit(Array(0.8, 0.2))

  val trainingRDD = splits(0)


  val testingRDD = splits(1)

  //输出最优参数

  adjustALSParams(trainingRDD, testingRDD)

  //关闭Spark


  spark.close()

}

其中adjustALSParams方法是模型评估的核心,输入一组训练数据和测试数据,输出计算得到最小RMSE的那组参数。代码实现如下:

//输出最终的最优参数
def adjustALSParams(trainData:RDD[Rating], testData:RDD[Rating]): Unit ={
//这里指定迭代次数为5,rank和lambda在几个值中选取调整  
val result = for(rank <- Array(100,200,250); lambda <- Array(1, 0.1, 0.01, 0.001))


    yield {


      val model = ALS.train(trainData,rank,5,lambda)


      val rmse = getRMSE(model, testData)


      (rank,lambda,rmse)


    }


  // 按照rmse排序


  println(result.sortBy(_._3).head)


}

计算RMSE的函数getRMSE代码实现如下:

def getRMSE(model:MatrixFactorizationModel, data:RDD[Rating]):Double={


  val userProducts = data.map(item => (item.user,item.product))


  val predictRating = model.predict(userProducts)
val real = data.map(item => ((item.user,item.product),item.rating))


  val predict = predictRating.map(item => ((item.user,item.product),item.rating))


  // 计算RMSE


  sqrt(


    real.join(predict).map{case ((userId,productId),(real,pre))=>


      // 真实值和预测值之间的差


      val err = real - pre


      err * err


    }.mean()


  )


}

运行代码,我们就可以得到目前数据的最优模型参数。

关键词:大数据培训