【LeetCode刷题】NO.25---第160题

136 阅读2分钟

Offer 驾到,掘友接招!我正在参与2022春招打卡活动,点击查看活动详情

一.题目

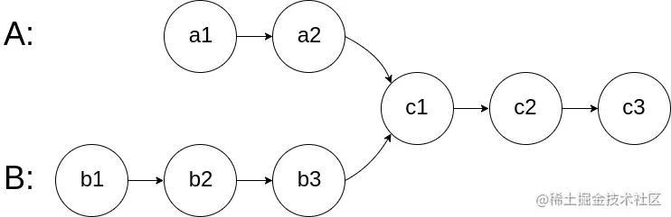
160. 相交链表 给你两个单链表的头节点 headA 和 headB ,请你找出并返回两个单链表相交的起始节点。如果两个链表不存在相交节点,返回 null 。 图示两个链表在节点 c1 开始相交

image.png 题目数据 保证 整个链式结构中不存在环。注意,函数返回结果后,链表必须 保持其原始结构 。

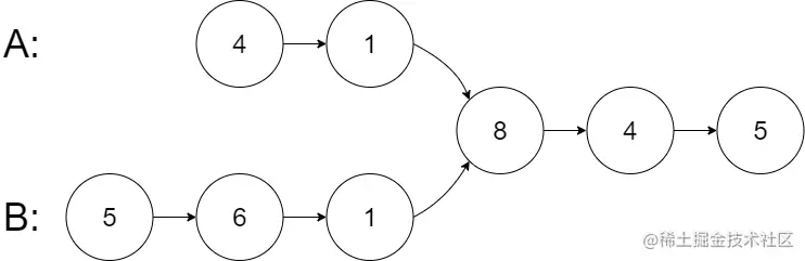
示例 1:

image.png

输入:intersectVal = 8, listA = [4,1,8,4,5], listB = [5,6,1,8,4,5], skipA = 2, skipB = 3
输出:Intersected at '8'
解释:相交节点的值为 8 (注意,如果两个链表相交则不能为 0)。
从各自的表头开始算起,链表 A[4,1,8,4,5],链表 B[5,6,1,8,4,5]。
在 A 中,相交节点前有 2 个节点;在 B 中,相交节点前有 3 个节点。

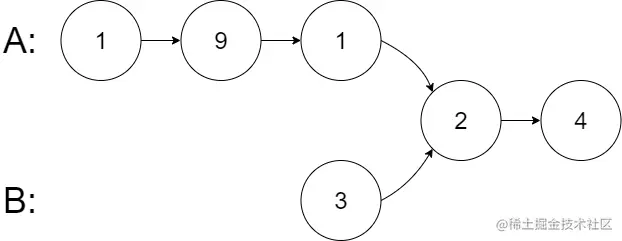
示例 2:

image.png

输入:intersectVal = 2, listA = [1,9,1,2,4], listB = [3,2,4], skipA = 3, skipB = 1
输出:Intersected at '2'
解释:相交节点的值为 2 (注意,如果两个链表相交则不能为 0)。
从各自的表头开始算起,链表 A[1,9,1,2,4],链表 B[3,2,4]。
在 A 中,相交节点前有 3 个节点;在 B 中,相交节点前有 1 个节点。

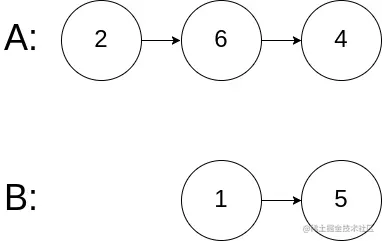
示例 3:

image.png

输入:intersectVal = 0, listA = [2,6,4], listB = [1,5], skipA = 3, skipB = 2
输出:null
解释:从各自的表头开始算起,链表 A[2,6,4],链表 B[1,5]。
由于这两个链表不相交,所以 intersectVal 必须为 0,而 skipA 和 skipB 可以是任意值。
这两个链表不相交,因此返回 null 。

提示:

  • listA 中节点数目为 m
  • listB 中节点数目为 n
  • 1 <= m, n <= 3 * 104
  • 1 <= Node.val <= 105
  • 0 <= skipA <= m
  • 0 <= skipB <= n
  • 如果 listA 和 listB 没有交点,intersectVal 为 0
  • 如果 listA 和 listB 有交点,intersectVal == listA[skipA] == listB[skipB]

二、思路分析:

这是一道链表题目,我们首先需要想到双指针求解问题,两个指针分别放到两个链表上去,然后指针同步移动进行比较,但是问题是题目要求我们是寻找相交的结点,但是链表的长度是不定的。即两个链表长度不相同我们不能让两个指针同步进行。

所以我们需要想到如何让两个链表保证长度是相同的,这样我们应该就能够想到让两个链表相连的操作,即如果链表A的指针快要到表尾为空的时候,需要将链表B的头部连接在链表A的尾部,同理链表B也是这样操作,那么这样我们就能够保证两个链表相同长度,让指针同步移动比较就能够得到想要的结果。

三、代码:

/**
 * Definition for singly-linked list.
 * function ListNode(val) {
 *     this.val = val;
 *     this.next = null;
 * }
 */

/**
 * @param {ListNode} headA
 * @param {ListNode} headB
 * @return {ListNode}
 */
var getIntersectionNode = function(headA, headB) {
    let p1 = headA, p2 = headB
    while(p1 !== p2){
        if(p1 == null){ 
            p1 = headB
        }else p1 = p1.next
        if(p2 == null){ 
            p2 = headA
        }else p2 = p2.next
    }
    return p1
};

四、总结:

这道链表题需要我们想到两个链表相连接的求解过程,这样也很方便因为即使两个链表没有相交的结点指针也会指向NULL,不需要我们进行额外的处理。