[LeetCode] 剑指 Offer 14- II. 剪绳子 II

247 阅读1分钟

👉 “Offer 驾到,掘友接招!我正在参与2022春招打卡活动点击查看 活动详情

剑指 Offer 14- II. 剪绳子 II

给你一根长度为 n 的绳子,请把绳子剪成整数长度的 m 段(m、n都是整数,n>1并且m>1),每段绳子的长度记为 k[0],k[1]...k[m - 1] 。请问 k[0]k[1]...*k[m - 1] 可能的最大乘积是多少?例如,当绳子的长度是8时,我们把它剪成长度分别为2、3、3的三段,此时得到的最大乘积是18。

答案需要取模 1e9+7(1000000007),如计算初始结果为:1000000008,请返回 1。

示例 1:

输入: 2
输出: 1
解释: 2 = 1 + 1, 1 × 1 = 1

示例 2:

输入: 10
输出: 36
解释: 10 = 3 + 3 + 4, 3 × 3 × 4 = 36

提示:

2 <= n <= 1000
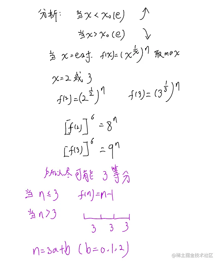
  • 数学推导与证明

剪绳子1.png

剪绳子2.png

经过上述推导与证明,需要尽可能的将绳子三等分,才可以使乘积最大,因此考虑n%3余数的情况

  • 余数为0f(n)=3af(n) = 3^a;
  • 余数为1,由于4 > 1 * 3,因此可以拿出一个31组成4,此时f(n)=3a1×4f(n) = 3 ^ {a - 1} \times 4
  • 余数为2f(n)=3a×2f(n) = 3^a\times2
C++版本
class Solution { 
public:
    using LL = long long;
    constexpr static int MOD = 1e9 + 7;
    int cuttingRope(int n) {
        if(n <= 3) return n - 1;
        int a = n / 3, b = n % 3;
        LL ans = 0;
        if(b == 0) ans = quick_pow(3,a);
        else if(b == 1) ans = quick_pow(3,a - 1) * 4 ;
        else ans = quick_pow(3,a) * 2;
        return ans % MOD;
    }
private:
    //快速幂取模
    LL quick_pow(LL a,LL b){
        LL ans = 1;
        while(b){
            if(b & 0x1) ans = (ans * a) % MOD;
            a = (a * a) % MOD;
            b >>= 1;
        }
        return ans % MOD;
    }
};
Python版本
class Solution:
    def cuttingRope(self, n: int) -> int:
        if n <= 3:
            return n - 1
        ans = 0;
        a,b = n // 3,n % 3
        if b == 0:
            ans = (3 ** a)
        elif b == 1:
            ans = (3 ** (a - 1)) * 4
        else:
            ans = (3 ** a) * 2
        return ans % (10 ** 9 + 7)