「leetCode」142-环形链表||⚡️

135 阅读3分钟

Offer 驾到,掘友接招!我正在参与2022春招系列活动-刷题打卡任务,点击查看活动详情

大家好,我是速冻鱼🐟,一条水系前端💦,喜欢花里胡哨💐,持续沙雕🌲
欢迎小伙伴们加我微信sudongyuer拉你进群
关注我的公众号:前端速冻鱼一起进步,期待与大家共同成长🥂

题目🦀

142. 环形链表 II

难度中等

给定一个链表的头节点 head ,返回链表开始入环的第一个节点。 如果链表无环,则返回 null

如果链表中有某个节点,可以通过连续跟踪 next 指针再次到达,则链表中存在环。 为了表示给定链表中的环,评测系统内部使用整数 pos 来表示链表尾连接到链表中的位置(索引从 0 开始)。如果 pos-1,则在该链表中没有环。注意:pos 不作为参数进行传递,仅仅是为了标识链表的实际情况。

不允许修改 链表。

示例 1:

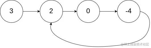
img

输入:head = [3,2,0,-4], pos = 1
输出:返回索引为 1 的链表节点
解释:链表中有一个环,其尾部连接到第二个节点。

示例 2:

img

输入:head = [1,2], pos = 0
输出:返回索引为 0 的链表节点
解释:链表中有一个环,其尾部连接到第一个节点。

示例 3:

img

输入:head = [1], pos = -1
输出:返回 null
解释:链表中没有环。

提示:

  • 链表中节点的数目范围在范围 [0, 104]

  • -105 <= Node.val <= 105

  • pos 的值为 -1 或者链表中的一个有效索引

**进阶:**你是否可以使用 O(1) 空间解决此题?

解题思路🌵

  • 用map来保存路过的节点
  • 当遇到相交的节点时,从map去除并返回
  • 但是这样求解的空间复杂度为O(n),采用快慢指针可以降低到O(1)

解题步骤🌟

  • 初始化map
  • 遍历链表
  • 将未相遇的节点放进map管理
  • 遇到相遇就返回当前节点
  • 如果没有则返回null

源码🔥

/**
 * Definition for singly-linked list.
 * function ListNode(val) {
 *     this.val = val;
 *     this.next = null;
 * }
 */

/**
 * @param {ListNode} head
 * @return {ListNode}
 */
var detectCycle = function(head) {
    let nodeMap =new Map()
    let i=0
    while(head){
        if(nodeMap.has(head)){
            return head
        }
        nodeMap.set(head,i)
        i++;
        head=head.next
    }
    return null
};

时间复杂度:O(N)

空间复杂度:O(N)

结束语🌞

那么鱼鱼的LeetCode算法篇的「leetCode」142-环形链表||⚡️就结束了,虽然前端对算法要求没有后端高,但是算法是编程基础,程序=数据结构➕算法,所以算法这个东西没有捷径,只能多写多练,多总结,文章的目的其实很简单,就是督促自己去完成算法练习并总结和输出,菜不菜不重要,但是热爱🔥,喜欢大家能够喜欢我的短文,也希望通过文章认识更多志同道合的朋友,如果你也喜欢折腾,欢迎加我好友,一起沙雕,一起进步

github🤖:sudongyu

个人博客👨‍💻:速冻鱼blog

vx👦:sudongyuer

写在最后

伙伴们,如果喜欢我的口水话给🐟🐟点一个赞👍或者关注➕都是对我最大的支持。