攻不下dfs不参加比赛(十三)

531 阅读4分钟

Offer 驾到,掘友接招!我正在参与2022春招打卡活动,点击查看活动详情

为什么练dfs

相信学过数据结构的朋友都知道dfs(深度优先搜索)是里面相当重要的一种搜索算法,可能直接说大家感受不到有条件的大家可以去看看一些算法比赛。这些比赛中每一届或多或少都会牵扯到dfs,可能提到dfs大家都知道但是我们为了避免眼高手低有的东西看着自己很明白就是写不出来。为了避免这种尴尬我们这几天乘着这个活动练练,好了我们话不多说开始肥学。

PS:这两天发现有的肥友不知道什么是DFS我还是简单说一下吧不然这题很难做下去。

深度优先搜索属于图算法的一种,英文缩写为DFS即Depth First Search.其过程简要来说是对每一个可能的分支路径深入到不能再深入为止,而且每个节点只能访问一次.

在这里插入图片描述

举例说明之:下图是一个无向图,如果我们从A点发起深度优先搜索(以下的访问次序并不是唯一的,第二个点既可以是B也可以是C,D),则我们可能得到如下的一个访问过程:A->B->E(没有路了!回溯到A)->C->F->H->G->D(没有路,最终回溯到A,A也没有未访问的相邻节点,本次搜索结束).简要说明深度优先搜索的特点:每次深度优先搜索的结果必然是图的一个连通分量.深度优先搜索可以从多点发起.如果将每个节点在深度优先搜索过程中的"结束时间"排序(具体做法是创建一个list,然后在每个节点的相邻节点都已被访问的情况下,将该节点加入list结尾,然后逆转整个链表),则我们可以得到所谓的"拓扑排序",即topological sort. [1]

题目

给你一个二叉树的根节点 root ,按 任意顺序 ,返回所有从根节点到叶子节点的路径。

叶子节点 是指没有子节点的节点。

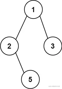
示例 1: 在这里插入图片描述

输入:root = [1,2,3,null,5]
输出:["1->2->5","1->3"]

示例 2:

输入:root = [1]
输出:["1"]

思路:这道题的难点应该在与对路径的输出,因为找到所有路径是需要判断叶子节点的个数就可以了。

解一:自上而下解法(比较好理解但是空间和时间消耗比较高)

/**
 * Definition for a binary tree node.
 * public class TreeNode {
 *     int val;
 *     TreeNode left;
 *     TreeNode right;
 *     TreeNode() {}
 *     TreeNode(int val) { this.val = val; }
 *     TreeNode(int val, TreeNode left, TreeNode right) {
 *         this.val = val;
 *         this.left = left;
 *         this.right = right;
 *     }
 * }
 */
class Solution {
    List<String> list=new ArrayList<String>();
    public List<String> road(TreeNode root,StringBuilder s){
          if(root==null)return list;
          if(root.left==null&&root.right==null){
              s.append("->"+root.val);
              s.delete(0,2);//去除刚开始的->符号
              list.add(s.toString());
            return list;
        }
        s.append("->"+root.val);
        if(root.left!=null&&root.right!=null){//因为只有到左右孩子都存在的情况下才会出现新的路径
            StringBuilder s1=new StringBuilder(s);//为了避免路径里面有上一条路径的重复路径
            StringBuilder s2=new StringBuilder(s);
            road(root.left,s1);
            road(root.right,s2);
        }else{
            road(root.left,s);
            road(root.right,s);
        }
        return list;
    }
    public List<String> binaryTreePaths(TreeNode root) {
        StringBuilder s=new StringBuilder();
        return road(root,s);

    }
}

解法二:

思路:最直观的方法是使用深度优先搜索。在深度优先搜索遍历二叉树时,我们需要考虑当前的节点以及它的孩子节点。

如果当前节点不是叶子节点,则在当前的路径末尾添加该节点,并继续递归遍历该节点的每一个孩子节点。 如果当前节点是叶子节点,则在当前路径末尾添加该节点后我们就得到了一条从根节点到叶子节点的路径,将该路径加入到答案即可。 如此,当遍历完整棵二叉树以后我们就得到了所有从根节点到叶子节点的路径。当然,深度优先搜索也可以使用非递归的方式实现,这里不再赘述。


class Solution {
    public List<String> binaryTreePaths(TreeNode root) {
        List<String> paths = new ArrayList<String>();
        constructPaths(root, "", paths);
        return paths;
    }

    public void constructPaths(TreeNode root, String path, List<String> paths) {
        if (root != null) {
            StringBuffer pathSB = new StringBuffer(path);
            pathSB.append(Integer.toString(root.val));
            if (root.left == null && root.right == null) {  // 当前节点是叶子节点
                paths.add(pathSB.toString());  // 把路径加入到答案中
            } else {
                pathSB.append("->");  // 当前节点不是叶子节点,继续递归遍历
                constructPaths(root.left, pathSB.toString(), paths);
                constructPaths(root.right, pathSB.toString(), paths);
            }
        }
    }
}