LeetCode 83 删除排序链表中的重复元素

147 阅读1分钟

参加了 kkb 的门徒培训,想要记录下自己的成长过程。每天一篇,坚持不断更 --- 2022.3.10

题目描述

给定一个已排序的链表的头 head , 删除所有重复的元素,使每个元素只出现一次 。返回 已排序的链表 。

 

示例 1:

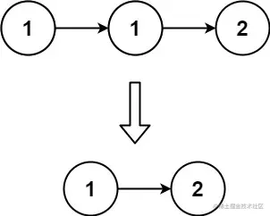
输入: head = [1,1,2]
输出: [1,2]

示例 2:

输入: head = [1,1,2,3,3]
输出: [1,2,3]

 

提示:

  • 链表中节点数目在范围 [0, 300] 内
  • -100 <= Node.val <= 100
  • 题目数据保证链表已经按升序 排列

解题思路

本题较为简单,我们可以采用单指针的形式,当指针值为相同时,我们只需要继续往下找就好

/**
 * @param {ListNode} head
 * @return {ListNode}
 */
var deleteDuplicates = function(head) {
    // 判断 head 是否为空
    if (!head) return null

    // 当指针值为相同时,我们只需要继续往下找就好
    let p = head
    while (p.next) {
        if (p.val === p.next.val) {
            p.next = p.next.next
        } else {
            p = p.next
        }
    }

    return head
};