数据结构与算法(八)-树(Tree)和二叉树(BinaryTree)

528 阅读7分钟

树(Tree)和二叉树(BinaryTree)

一、树结构的介绍

我们大家都见过现实生活中的树🌲,例如:

世界十大名树全球最著名的树盘点其中一棵位于我国台湾

1.1 树的特点:

  • 树一般都有一个,连接着根的是树干
  • 树干会发生分叉,形成许多树枝,树枝会继续分化成更小的树枝
  • 树枝的最后是叶子

现实生活中很多结构都是树的抽象,模拟的树结构相当于旋转180°的树,如下:

image-20200229205630945

1.2 树结构 对比于数组/链表/哈希表 有哪些优势呢?

数组:

  • 优点:可以通过下标值访问,效率高;
  • 缺点:查找数据时需要先对数据进行排序,生成有序数组,才能提高查找效率;并且在插入和删除元素时,需要大量的位移操作

链表:

  • 优点:数据的插入和删除操作效率都很高;
  • 缺点:查找效率低,需要从头开始依次查找,直到找到目标数据为止;当需要在链表中间位置插入或删除数据时,插入或删除的效率都不高。

哈希表:

  • 优点:哈希表的插入/查询/删除效率都非常高;
  • 缺点:空间利用率不高,底层使用的数组中很多单元没有被利用;并且哈希表中的元素是无序的,不能按照固定顺序遍历哈希表中的元素;而且不能快速找出哈希表中最大值或最小值这些特殊值。

树结构:

优点:树结构综合了上述三种结构的优点,同时也弥补了它们存在的缺点(虽然效率不一定都比它们高),比如树结构中数据都是有序的,查找效率高;空间利用率高;并且可以快速获取最大值和最小值等。

总结:每种数据结构都有自己特定的应用场景

二、认识树结构

树(Tree):由 n(n ≥ 0)个节点构成的有限集合。当 n = 0 时,称为空树

对于任一棵非空树(n > 0),它具备以下性质:

  • 数中有一个称为**根(Root)**的特殊节点,用 **r **表示;
  • 其余节点可分为 m(m > 0)个互不相交的有限集合 T1,T2,...,Tm,其中每个集合本身又是一棵树,称为原来树的子树(SubTree)

2.1 树的常用术语:

image-20200229221126468

  • 节点的度(Degree):节点的子树个数,比如节点B的度为2
  • 树的度:树的所有节点中最大的度数,如上图树的度为2
  • 叶节点(Leaf)度为0的节点(也称为叶子节点),如上图的H,I,J等
  • 父节点(Parent):度不为0的节点称为父节点,如上图节点B是节点D和E的父节点
  • 子节点(Child):若B是D的父节点,那么D就是B的子节点
  • 兄弟节点(Sibling):具有同一父节点的各节点彼此是兄弟节点,比如上图的B和C,D和E互为兄弟节点
  • 路径和路径长度:路径指的是一个节点到另一节点的通道,路径所包含边的个数称为路径长度,比如A->H的路径长度为3
  • 节点的层次(Level):规定根节点在1层,其他任一节点的层数是其父节点的层数加1。如B和C节点的层次为2
  • 树的深度(Depth):树种所有节点中的最大层次是这棵树的深度,如上图树的深度为4

2.2 数结构的表示方式

2.2.1 常见的表示方法

image-20200229230417613

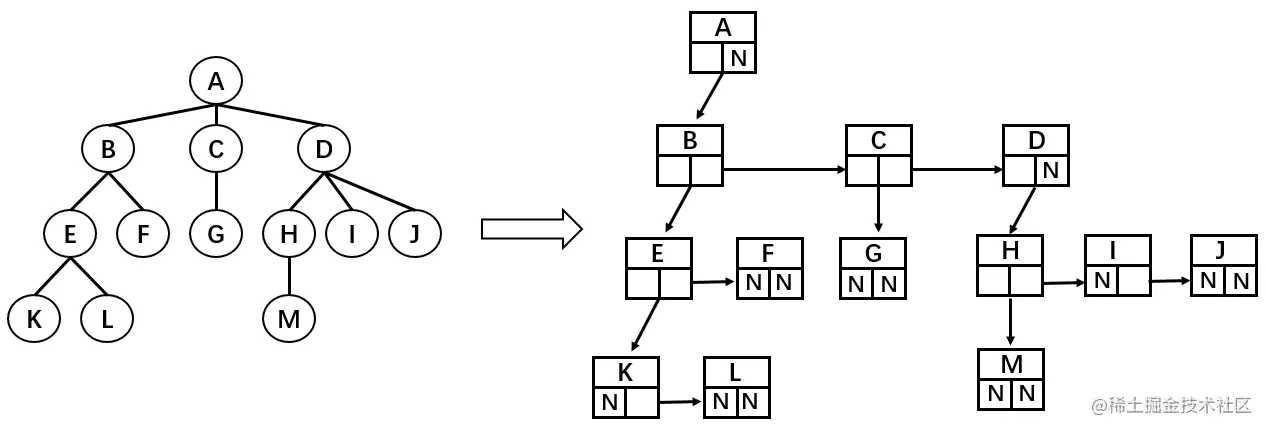
如图,树结构的组成方式类似于链表,都是由一个个节点连接构成。

不过,根据每个父节点子节点数量的不同,每一个父节点需要的引用数量也不同。

比如:节点A需要3个引用,分别指向子节点B,C,D;而B节点需要2个引用,分别指向子节点E和F;K节点由于没有子节点,所以不需要引用。

这种方法缺点在于我们无法确定某一结点的引用数

2.2.2 儿子-兄弟表示法

image-20200229232805477

这种表示方法可以完整地记录每个节点的数据,比如

//节点A
Node{
  //存储数据
  this.data = data
  //统一只记录左边的子节点
  this.leftChild = B
  //统一只记录右边的第一个兄弟节点
  this.rightSibling = null
}

//节点B
Node{
  this.data = data
  this.leftChild = E
  this.rightSibling = C
}

//节点F
Node{
  this.data = data
  this.leftChild = null
  this.rightSibling = null
}

这种表示法的优点在于每一个节点中引用的数量都是确定的

2.2.3 将儿子-兄弟表示法 选择

将儿子-兄弟表示法旋转后会打开一个新世界,让我们一步一步揭开新世界的大门,下面是儿子-兄弟表示法尚未旋转的结构

image-20200229234549049

将其顺时针旋转45°之后:

image-20200229235549522

这样就成为了一棵二叉树,由此我们可以得出结论:任何树都可以通过二叉树进行模拟

问:但是这样父节点不是变了吗?

其实,父节点的设置只是为了方便指向子节点,在代码实现中谁是父节点并没有关系,只要能正确找到对应节点即可

三、二叉树的介绍

3.1 什么是二叉树?

image-20220112144436391

正如上图所示:如果树中的每一个节点最多只能由两个子节点,这样的树就称为二叉树

二叉树十分重要,不仅仅是因为简单,更是因为几乎所有的树都可以表示成二叉树形式。

3.2 二叉树的组成:

  • 二叉树可以为空,也就是可以没有节点;
  • 若二叉树不为空,则它由根节点和称为其左子树TL右子树TR的两个不相交的二叉树组成;

3.3 二叉树的五种形态

image-20200301001718079

上图分别表示:空的二叉树、只有一个节点的二叉树、只有左子树TL的二叉树、只有右子树TR的二叉树、有左右两个子树的二叉树

3.4 二叉树的特性

  • 一个二叉树的第 i 层的最多有 2 ^ (i-1)个节点,i >= 1
  • 一个深度为k的二叉树的最多有(2 ^ k) - 1个节点,k >= 1
  • 对任何非空二叉树,若 n0 表示叶子节点的个数,n2表示度为2的非叶子节点个数,那么两者满足关系:n0 = n2 + 1;
    • 如下图所示:H,E,I,J,G为叶子节点,总数为5;
    • A,B,C,F为度为2的非叶子节点,总数为4;
    • 满足n0 = n2 + 1的规律

image-20200301092140211

3.5 特殊的二叉树

3.5.1 完美二叉树 |满二叉树

完美二叉树(Perfect Binary Tree)也成为满二叉树(Full Binary Tree),在二叉树中,除了最下一层的叶子节点外,每层节点都有2个子节点,这就构成了完美二叉树

image-20200301093237681

3.5.2 完全二叉树
  • 除了二叉树最后一层外,其他各层的节点数都达到了最大值
  • 并且,最后一层的叶子节点从左向右是连续存在只缺失右侧若干叶子节点
  • 完美二叉树是特殊的完全二叉树

image-20200301093659373

在上图中,由于H缺失了右子节点,所以它不是完全二叉树,若H存在右子节点,那么上图就是一颗完全二叉树

3.6 二叉树的数据存储

常见的二叉树存储方式为数组和链表

3.6.1 使用数组存储数据

完全二叉树:按从上到下,从左到右的方式存储数据

image-20200301094919588

节点ABCDEFGH
序号12345678

使用数组存储时,取数据的时候也十分方便:

  • 左子节点的序号等于父节点序号 * 2右子节点的序号等于父节点序号 * 2 + 1

  • 例如:H节点的数据是D节点数据 * 2 ,也就是42= 8,I节点的数据是D节点数据 * 2 + 1,也就是42+1 = 9

非完全二叉树:非完全二叉树需要转换成完全二叉树才能按照上面的方案存储,这样会浪费很大的存储空间

image-20200301100043636

节点ABC^^F^^^^^^M
序号12345678910111213

所以,对于非完全二叉树,一般都是使用链表进行数据存储

3.6.2 使用链表存储数据

每一个节点封装成一个Node,Node中包含存储的数据、左节点的引用和右节点的引用

image-20200301100616105

下篇文章介绍二叉搜索树