每日一题——N 叉树的前序遍历

107 阅读1分钟

Offer 驾到,掘友接招!我正在参与2022春招打卡活动,点击查看活动详情

题目描述

给定一个 n 叉树的根节点 root ,返回 其节点值的 前序遍历 。

n 叉树 在输入中按层序遍历进行序列化表示,每组子节点由空值 null 分隔(请参见示例)。

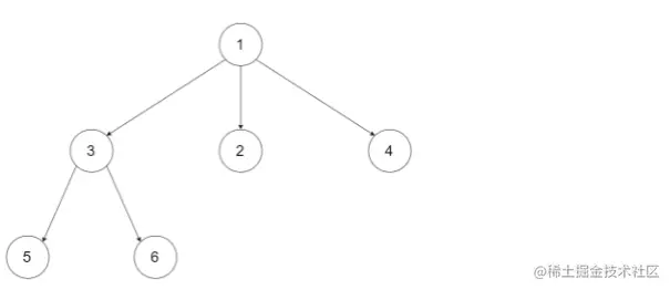
示例 1:

image-20220310145429567

输入:root = [1,null,3,2,4,null,5,6]
输出:[1,3,5,6,2,4]
输出:[1,3,5,6,2,4]

示例 2:

image-20220310145449934

输入:root = [1,null,2,3,4,5,null,null,6,7,null,8,null,9,10,null,null,11,null,12,null,13,null,null,14] 输出:[1,2,3,6,7,11,14,4,8,12,5,9,13,10]

提示:

  • 节点总数在范围 [0, 104]
  • 0 <= Node.val <= 104
  • n 叉树的高度小于或等于 1000

思路:

这道题很明显考察的是递归,针对这道题,我们可以很容易联想到在面对二叉树的前序遍历时会使用到的深度优先遍历,当维度来到N叉时我们一样可以使用dfs深度优先遍历的解法进行解决。

当处理的节点存在时,优先处理当前节点,获取当前节点的子孩子节点的数量,然后循环遍历每个子孩子的孩子节点。这样就可以遍历完所有的N叉节点,完成N叉树的遍历。

代码

/*
// Definition for a Node.
class Node {
public:
    int val;
    vector<Node*> children;
​
    Node() {}
​
    Node(int _val) {
        val = _val;
    }
​
    Node(int _val, vector<Node*> _children) {
        val = _val;
        children = _children;
    }
};
*/
​
class Solution {
public:
    void dfs(vector<int> &res,Node* children){
        if(children == NULL) return;
        // 输入到结果集中
        res.push_back(children -> val);
        vector<Node*> ans = children -> children;
        int length = ans.size();
        for(int i = 0;i < length;i ++)
        {
            dfs(res,ans[i]);
        }
​
    }
    vector<int> preorder(Node* root) {
        // 使用dfs进行搜索
        vector<int> res;
        if(root == NULL) return res;
        dfs(res,root);
        return res;
​
    }
};

总结

面对N叉树的遍历时,优先使用递归深度优先遍历或者深度优先遍历。