FOC电机控制

277 阅读1分钟

1

image.png image.png image.png image.png

2

两个Udc零矢量合成24°方向的矢量**,我们看下图: image.png image.png

3

image.png

4 伏秒原则

等效的电压矢量幅值,为什么是等效,因为电感模型中,电压是可以突变的,但是电流是不能突变的,如果你拿示波器去夹在A和星接点上,看A相的分压,你会发现,这个分压就是有无有无的节奏,但是如果你拿电流钳钳在A相上看电流,你会发现这个电流是一直在的,只是有点波动,三角锯齿波的形状的波动,开关的频率越高,电流波形频率也越高,波动幅度越低,也越接近直流,电流是连续的,所以电压我们这里说等效,这也是伏秒原则的缘由;

5

工业机器人三大核心零零部件:减速器、伺服电机和控制器。 这些零部件成本约占机器人整机成本的70%以上,是工业机器人产业链利润最厚的一环。 image.png

6

image.png image.png image.png image.png

  • Ua image.png image.png
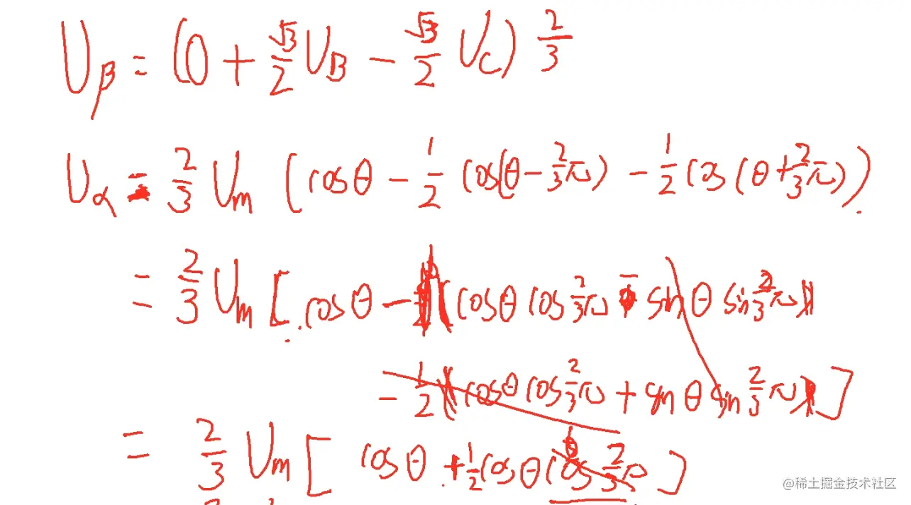
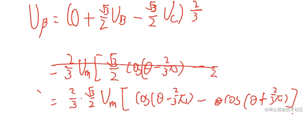
  • Ub image.png image.png
  • O image.png image.png image.png image.png image.png image.png
  • SVPWM image.png image.png image.png image.png
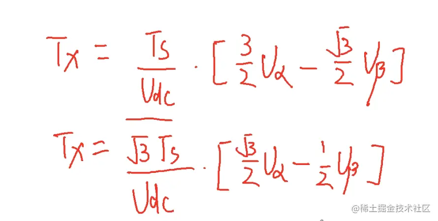
  • 第一扇区矢量作用时间 image.png
  • Ty image.png image.png
  • Tx image.png image.png
  • 第二扇区矢量作用时间 image.png
  • Tx image.png image.png
  • Ty image.png image.png image.png image.png
  • 第三扇区矢量作用时间 image.png image.png

参考文献: zhuanlan.zhihu.com/p/145551966