LeetCode 287.寻找重复的数

673 阅读3分钟

Offer 驾到,掘友接招!我正在参与2022春招打卡活动,点击查看活动详情

题目:给定一个数组nums,数组中只有一个数字重复,且重复次数未知,要求找到这个重复的数。要求不能修改原数组且只能使用常量级别的额外空间,时间复杂度为O(1)O(1)

解题思路

如果没有那些限制条件,本题应该会降为简单题。我们来一个个解决条件。

  • 无条件

无条件可以直接对数组进行排序,之后遍历数组查看当前元素和下一个元素是否相等即可,代码如下:

// 排序 之后 循环
public int findDuplicate(int[] nums) {
    Arrays.sort(nums);
    for(int i=0;i<nums.length-1;i++){
        if(nums[i]==nums[i+1]) return nums[i];
    }
    return -1;
}

时间复杂度O(nlogn)O(nlogn),空间复杂度为O(1)O(1)

  • 不能修改原数组且时间复杂度O(n)O(n)

不修改原数组可以使用HashSet或者HashMap来记录value,此处演示HashMap

// 哈希表记录
public int findDuplicate(int[] nums) {
    HashMap<Integer, Integer> map = new HashMap<>();
    for(int i=0;i<nums.length;i++){
        if(map.containsKey(nums[i])){
            return nums[i];
        }else {
            map.put(nums[i], 1);
        }
    }
    return -1;
}
  • 不修改原数组且空间复杂度为O(1)O(1)

双重循环可以解决这个问题,如下:

// 双重循环
public int findDuplicate(int[] nums) {
    for(int i=0;i<nums.length-1;i++){
        for(int j=i+1;j<nums.length;j++){
            if(nums[i]==nums[j]) return nums[i];
        }
    }
    return -1;
}

但时间复杂度为O(n2)O(n^2),大概率无法通过测试。

那么不修改原数组且要求时间复杂度O(n)O(n),空间复杂度O(1)O(1)呢?

快慢指针

快慢指针我们之前用过,是用来判断一个链表是否存在环以及输出入环点。那么如何将数组作为链表则是一个值得深思的问题。

本题为什么可以考虑将数组变成链表呢?首先我们不考虑数组中存在重复元素,例如数组[1, 3, 2, 4, 5],如果我们根据索引来指定链表,即0索引的值为1,则0的后继节点为1,而nums[1]的值为3,因此1指向33的值为4,则3指向4...最终根据此规则得到的链表为:

1646886987592.png

可以发现2号元素丢失了,也就意味着这样的数组是无法看作链表的!

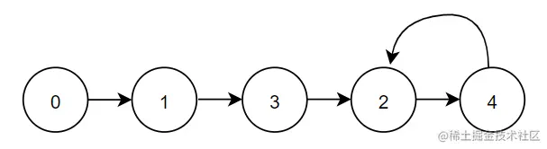
但注意看本题的条件是数组的长度为n+1且数组元素范围为1-n,此时我们无法同样假设数组中没有重复的元素了,可自行尝试。例如数组:[1, 3, 4, 2, 2],根据同样的规则可将数组转为以下链表:

1646887340879.png

从链表中我们可以看到,链表的入环点即为重复的元素,也可以通过判断链表中是否有环来证明链表中是否存在重复的元素,此时问题就转变为环形链表问题了,可得代码如下:

// 快慢指针 入环点才是重复元素
public int findDuplicate(int[] nums) {
    int slow = 0, fast = 0;
    do{
        slow = nums[slow];
        fast = nums[nums[fast]];
    }while (slow!=fast);
    int index = 0;
    while(index!=slow){
        index = nums[index];
        slow = nums[slow];
    }
    return slow;
}

因为我们初始化快慢指针都是0,因此首先需要走一步才能进行判断,也就是用到了do while,上述代码的时间复杂度为O(n)O(n),空间复杂度为O(1)O(1)