[路飞]_js算法:leetcode 199-二叉树的右视图

130 阅读1分钟

leetcode 199. 二叉树的右视图

问题描述: 给定一个二叉树的 根节点 root,想象自己站在它的右侧,按照从顶部到底部的顺序,返回从右侧所能看到的节点值。

  示例 1:

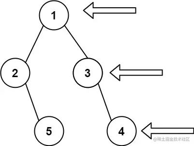
输入: [1,2,3,null,5,null,4]
输出: [1,3,4]

示例 2:

输入: [1,null,3]
输出: [1,3]

思路: 用深度计算的方式遍历 一旦有了右节点 当前节点的左节点就没用了。

/**
 * Definition for a binary tree node.
 * function TreeNode(val, left, right) {
 *     this.val = (val===undefined ? 0 : val)
 *     this.left = (left===undefined ? null : left)
 *     this.right = (right===undefined ? null : right)
 * }
 */
/**
 * @param {TreeNode} root
 * @return {number[]}
 */
 function dfs(root,depth,res){
     if(root==null)return false;
     if(depth==res.length){
         res.push(root.val)
     }
     depth++;
     dfs(root.right,depth,res)
     dfs(root.left,depth,res)
 }
 var rightSideView = function(root) {
    //  if(root==null)return [];
     let res=[];
     let depth=0;
     dfs(root,depth,res);
     return res;
};