[路飞]_js算法:leetcode 230-二叉搜索树中第K小的元素

106 阅读1分钟

leetcode 230. 二叉搜索树中第K小的元素

问题描述: 给定一个二叉搜索树的根节点 root ,和一个整数 k ,请你设计一个算法查找其中第 k ****个最小元素(从 1 开始计数)。

 

示例 1:

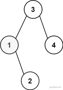
输入: root = [3,1,4,null,2], k = 1
输出: 1

示例 2:

输入: root = [5,3,6,2,4,null,null,1], k = 3
输出: 3

思路:

/**
 * Definition for a binary tree node.
 * function TreeNode(val, left, right) {
 *     this.val = (val===undefined ? 0 : val)
 *     this.left = (left===undefined ? null : left)
 *     this.right = (right===undefined ? null : right)
 * }
 */
/**
 * @param {TreeNode} root
 * @param {number} k
 * @return {number}
 */
 function getCount(root){
     if(root==null)return 0;
     return getCount(root.left)+getCount(root.right)+1;
 }
var kthSmallest = function(root, k) {
    if(root==null)return null;
    let l_length=getCount(root.left);
    if(k<=l_length)return kthSmallest(root.left,k);
    if(k==l_length+1)return root.val;
    return kthSmallest(root.right,k-l_length-1);
};