考研数据结构(每日一题)day15

130 阅读1分钟

考研数据结构(每日一题)

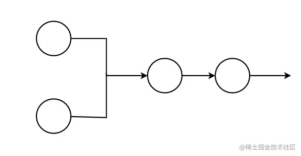
题目:给定两个单链表,编写算法找出两个链表的公共结点。

算法图解:

Snipaste_2022-03-07_11-15-33.png

算法思想:

1.两个链表长度一样

2.两个链表长度不一样

3.分别遍历两个链表并得到长度,求出长度之差。在长的链表上先遍历长度之差个结点之后,在同步遍历两个链表,直到找到相同的结点

完整代码:


LinkList Search_lst_Common(LinkList L1,LinkList L2){
    int len1 = Length(L1),len2 = Length(L2);   //计算两个链表的表长
    LinkList *longList,shortList;   //分别指向表长较长和较短的链表
    if(len1 > len2){   //L1大于L2的表长
        longList = L1 -> next;
        shortList = L2 -> next;
        dist = len1 - len2;    //表长之差
    }else{   //L2小于L2的表长
        longList = L2 -> next;
        shortList = L1 -> next;    //表长之差
    }
    while(dist--){  //表长的链表先遍历到第dist个结点,然后同步
        longList = longList ->next;
    }
    while(longList != NULL){   //同步找共同结点
        if(longList == shortList){    //找到第一个公共结点
            return longList;
        }else{         //继续同步寻找
            longList = longList -> next;
            shortList = shortList -> next;
        }
    }
    return NULL;
}