LeetCode 92 反转链表 II

71 阅读1分钟

参加了 kkb 的门徒培训,想要记录下自己的成长过程。每天一篇,坚持不断更 --- 2022.3.6

题目描述

给你单链表的头指针 head 和两个整数 left 和 right ,其中 left <= right 。请你反转从位置 left 到位置 right 的链表节点,返回 反转后的链表 。

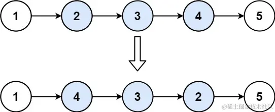
示例 1:

输入: head = [1,2,3,4,5], left = 2, right = 4
输出: [1,4,3,2,5]

示例 2:

输入: head = [5], left = 1, right = 1
输出: [5]

 

提示:

  • 链表中节点数目为 n
  • 1 <= n <= 500
  • -500 <= Node.val <= 500
  • 1 <= left <= right <= n

 

进阶:  你可以使用一趟扫描完成反转吗?

解题思路

参考 206 题的反转链表,先获取反转函数

LeetCode 206 反转链表 - 掘金 (juejin.cn)

因为是获取一个长度,让我们做个小小的修改

var reverseList = function(head, l) {
    if (l === 1) return head

    let tail = head.next
    // 递归调用函数
    let ret = reverse(head.next, l-1)
    head.next = tail.next
    tail.next = head
    return ret;
};

然后实现下主函数

var reverseBetween = function (head, left, right) {
    // 判空
    if (!head) return null
    // 由于头部可能会改变,这里我们使用个虚拟头结点进行保存
    let ret = new ListNode(-1, head), pre = ret, cnt = right - left + 1
    // 找到需要反转的点
    while (--left) {
        pre = pre.next
    }
    // 反转
    pre.next = reverse(pre.next, cnt)
    // 返回头节点
    return ret.next
};