LeetCode 206 反转链表

108 阅读1分钟

参加了 kkb 的门徒培训,想要记录下自己的成长过程。每天一篇,坚持不断更 --- 2022.3.5

题目描述

给你单链表的头节点 head ,请你反转链表,并返回反转后的链表。

 

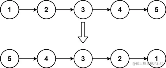
示例 1:

输入: head = [1,2,3,4,5]
输出: [5,4,3,2,1]

示例 2:

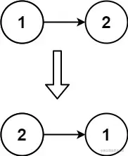
输入: head = [1,2]
输出: [2,1]

示例 3:

输入: head = []
输出: []

 

提示:

  • 链表中节点的数目范围是 [0, 5000]
  • -5000 <= Node.val <= 5000

解题思路

递归

var reverseList = function(head) {
    if (!head || !head.next) return head

    let tail = head.next
    // 递归调用函数
    let ret = reverseList(head.next)
    head.next = tail.next
    tail.next = head
    return ret;
};

单看代码可能有点蒙

让我们画个最简单的示意图图

image.png

声明变量

image.png

修改指向

image.png

递归重复以上步骤就可以实现

image.png

image.png