算法-动态规划-跳台阶

265 阅读1分钟

题目描述(10.3)

一只青蛙一次可以跳上 1 级台阶,也可以跳上 2 级。求该青蛙跳上一个 n 级的台阶总共有多少种跳法。

解题思路

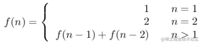
当 n = 1 时,只有一种跳法:

当 n = 2 时,有两种跳法:

跳 n 阶台阶,可以先跳 1 阶台阶,再跳 n-1 阶台阶;或者先跳 2 阶台阶,再跳 n-2 阶台阶。而 n-1 和 n-2 阶台阶的跳法可以看成子问题,该问题的递推公式为:

public int JumpFloor(int n) {
    if (n <= 2)
        return n;
    int pre2 = 1, pre1 = 2;
    int result = 0;
    for (int i = 2; i < n; i++) {
        result = pre2 + pre1;
        pre2 = pre1;
        pre1 = result;
    }
    return result;
}