算法-动态规划-斐波那契数列

120 阅读1分钟

题目描述(10.1)

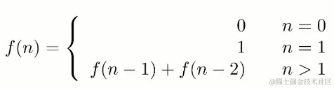
求斐波那契数列的第 n 项,n <= 39。

解题思路

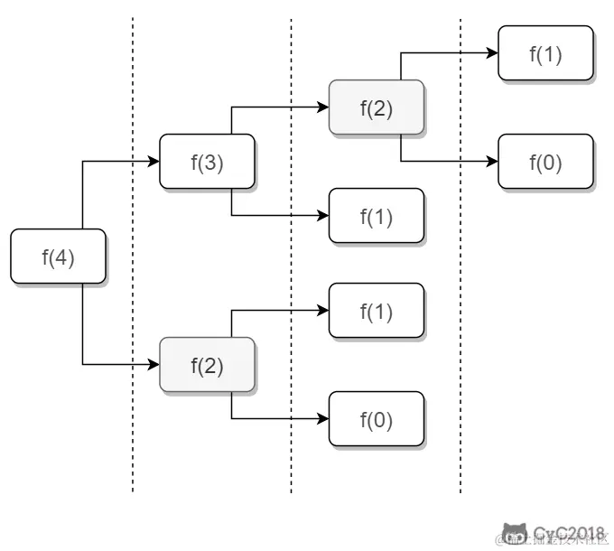
如果使用递归求解,会重复计算一些子问题。例如,计算 f(4) 需要计算 f(3) 和 f(2),计算 f(3) 需要计算 f(2) 和 f(1),可以看到 f(2) 被重复计算了。

递归是将一个问题划分成多个子问题求解,动态规划也是如此,但是动态规划会把子问题的解缓存起来,从而避免重复求解子问题。

public int Fibonacci(int n) {
    if (n <= 1)
        return n;
    int[] fib = new int[n + 1];
    fib[1] = 1;
    for (int i = 2; i <= n; i++)
        fib[i] = fib[i - 1] + fib[i - 2];
    return fib[n];
}

考虑到第 i 项只与第 i-1 和第 i-2 项有关,因此只需要存储前两项的值就能求解第 i 项,从而将空间复杂度由 O(N) 降低为 O(1)。

public int Fibonacci(int n) {
    if (n <= 1)
        return n;
    int pre2 = 0, pre1 = 1;
    int fib = 0;
    for (int i = 2; i <= n; i++) {
        fib = pre2 + pre1;
        pre2 = pre1;
        pre1 = fib;
    }
    return fib;
}

由于待求解的 n 小于 40,因此可以将前 40 项的结果先进行计算,之后就能以 O(1) 时间复杂度得到第 n 项的值。

public class Solution {

    private int[] fib = new int[40];

    public Solution() {
        fib[1] = 1;
        for (int i = 2; i < fib.length; i++)
            fib[i] = fib[i - 1] + fib[i - 2];
    }

    public int Fibonacci(int n) {
        return fib[n];
    }
}