LeetCode5300.有向无环图中一个节点的所有祖先

340 阅读2分钟

5300. 有向无环图中一个节点的所有祖先

难度中等 1 收藏分享切换为英文接收动态反馈

给你一个正整数  n ,它表示一个  有向无环图  中节点的数目,节点编号为  0  到  n - 1 (包括两者)。

给你一个二维整数数组  edges ,其中  edges[i] = [fromi, toi]  表示图中一条从  fromi  到  toi  的单向边。

请你返回一个数组  answer,其中 **answer[i]是第  i  个节点的所有  祖先 ,这些祖先节点  **升序**  排序。

如果  u  通过一系列边,能够到达  v ,那么我们称节点  u  是节点  v  的  祖先  节点。

示例 1:

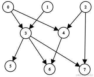
输入: n = 8, edgeList = [[0,3],[0,4],[1,3],[2,4],[2,7],[3,5],[3,6],[3,7],[4,6]]
输出: [[],[],[],[0,1],[0,2],[0,1,3],[0,1,2,3,4],[0,1,2,3]]
解释:
上图为输入所对应的图。
- 节点 012 没有任何祖先。
- 节点 32 个祖先 01 。
- 节点 42 个祖先 02 。
- 节点 53 个祖先 013 。
- 节点 65 个祖先 01234 。
- 节点 74 个祖先 0123

示例 2:

输入: n = 5, edgeList = [[0,1],[0,2],[0,3],[0,4],[1,2],[1,3],[1,4],[2,3],[2,4],[3,4]]
输出: [[],[0],[0,1],[0,1,2],[0,1,2,3]]
解释:
上图为输入所对应的图。
- 节点 0 没有任何祖先。
- 节点 11 个祖先 0 。
- 节点 22 个祖先 01 。
- 节点 33 个祖先 012 。
- 节点 44 个祖先 0123

提示:

  • 1 <= n <= 1000
  • 0 <= edges.length <= min(2000, n * (n - 1) / 2)
  • edges[i].length == 2
  • 0 <= fromi, toi <= n - 1
  • fromi != toi
  • 图中不会有重边。
  • 图是  有向  且  无环  的。

这是双周赛的第三道题, 为了这个浪费了很多时间, 淦 思路: 通过一个记忆 Set 来记录已经查到过的数据, 然后递归查询即可

class Solution {
    List<Set<Integer>> tempSet = new ArrayList<>();

    public List<List<Integer>> getAncestors(int n, int[][] edges) {
        for (int i = 0; i < n; i++) {
            tempSet.add(new HashSet<>());
        }
        List<List<Integer>> result = new ArrayList<>();
        for (int i = 0; i < n; i++) {
            Set<Integer> list = getList(edges, i);
            List<Integer> collect = new ArrayList<>(list);
            collect.sort(Comparator.comparingInt(o -> o));
            result.add(collect);
        }
        return result;
    }

    public Set<Integer> getList(int[][] edges, int n) {
        if (!tempSet.get(n).isEmpty()) return tempSet.get(n);
        Set<Integer> list = new HashSet<>();
        for (int[] temp : edges) {
            if (temp[1] == n) {
                list.add(temp[0]);
                list.addAll(getList(edges, temp[0]));
            }
        }
        tempSet.set(n, list);
        return list;
    }
}

不加记忆搜索会超时, 加了之后通过了, 虽然耗时依旧很多... 😂😂😂😂😂