[链表]环形链表 II

236 阅读4分钟

Offer 驾到,掘友接招!我正在参与2022春招打卡活动,点击查看活动详情

一、题目描述

原文链接:环形链表 II
具体描述: 给定一个链表的头节点 head ,返回链表开始入环的第一个节点。 如果链表无环,则返回 null。

如果链表中有某个节点,可以通过连续跟踪 next 指针再次到达,则链表中存在环。 为了表示给定链表中的环,评测系统内部使用整数 pos 来表示链表尾连接到链表中的位置(索引从 0 开始)。如果 pos 是 -1,则在该链表中没有环。注意:pos 不作为参数进行传递,仅仅是为了标识链表的实际情况。 ​

不允许修改 链表。

示例 1:

在这里插入图片描述

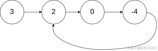
输入:head = [3,2,0,-4], pos = 1 输出:返回索引为 1 的链表节点 解释:链表中有一个环,其尾部连接到第二个节点。

示例 2:

在这里插入图片描述

输入:head = [1,2], pos = 0 输出:返回索引为 0 的链表节点 解释:链表中有一个环,其尾部连接到第一个节点。

示例 3:

在这里插入图片描述

输入:head = [1], pos = -1 输出:返回 null 解释:链表中没有环。

提示: ​

  • 链表中节点的数目范围在范围 [0, 10^4]
  • -105 <= Node.val <= 105
  • pos 的值为-1 或者链表中的一个有效索引

分析: 解释一下题目,这题目简直太有迷惑啦!明明方法参数只有链表,那来的POS指针,逗我玩那?其实他是这样的POS指针跟我们没有关系,仔细读这句话就清楚啦评测系统内部使用整数 pos 来表示...评测系统自己用的,我们就无需搭理它,我们只需要这道题目是让我们判断这个链表有没有环,有环的话返回环的入口!没有则返回null! ​



二、思路分析

这道题目考察的双指针当中的快慢指针!还有两个性质! ​

性质一:快指针每次走两步,慢指针每次走一步,当快指针与慢指针相遇则证明链表中一定存在环! 为什么那?我们可以随便举几个例子! 先看看示例1:

在这里插入图片描述

快指针路径:0=》2=》-4 慢指针路径:2=》0=》-4 快慢指针相遇!并且是有环的! ​
​ 再看看示例2:

在这里插入图片描述

快指针路径:1=》1 慢指针路径:2=》1=》-4 快慢指针相遇!并且是有环的!


在看看没有环的: 在这里插入图片描述

快指针路径:null 慢指针路径:1 就一遍结束啦! ​


通过举例子可以说明,快慢指针只要相遇一定存在环,就像两个人同时跑步,我们需要绕着操场一直不停的跑,跑得快的一定会和慢的再次相遇,此时操场就是一个环!如果按直线跑,两人一定不会相遇!

补充一点:如果跑得快的人的速度是慢的人两倍的话,到第一圈的终点两个人会相遇!假设两个人两个人不是从跑到的起点开始的(也就是说不是从环的入口开始),两个人都同一个宿舍楼出发到操场(这是直线)的话,那么慢的人还没有跑一圈,两个人就会相遇! ​

总结一下:当快指针的速度是慢指针速度两倍的之后,两人必定会相遇,并且慢指针最多跑了一圈!



性质二:如果链表当中存在环,则链表的起始位置到环的入口的长度 **等于** 快慢指针相遇的地方到环入口的长度! 为什么那?我们来证明一下!

在这里插入图片描述

假设head到环入口距离为x,环入口到相遇点距离为y,相遇点到环入口为z(圈不住这块,所以就没有话!很难受!) 这里有个等式,快指针走过的节点数一定是慢指针的两倍!(快指针的速度正好是慢指针的两倍)

x + y + n * (y + z) = (x + y) * 2 我们是要求x,所以可以推出 n * (y + z) = x + y x = n * (y + z) - y x = (n - 1)(y + z) + z

注意慢指针走的距离是(x + y) * 2不是(x + ny) * 2! 因为我们刚才讲过了,快指针速度是慢指针两倍的时候,慢指针最多走一圈就会相遇! ​

首先我们知道n肯定是>=1的!(n是圈数) 如果n=1,则x=z,说明相遇点到环入口的距离等于head到环入口的距离! 如果n>1,则说明快指针多转了几圈,然后到达相遇点, 还是可以说明x=z,相遇点到环入口的距离等于head到环入口的距离! ​

三、AC代码

public class Solution {
    public ListNode detectCycle(ListNode head) {
        ListNode slow = head;
        ListNode fast = head;
        while (fast != null && fast.next != null){
            slow = slow.next;
            fast = fast.next.next;
            // 存在环
            if (slow == fast) {
                ListNode index1 = head;
                ListNode index2 = slow;
                // 从头到环入口的距离等于从相遇点到环的入口
                while (index1 != index2){
                    index1 = index1.next;
                    index2 = index2.next;
                }
                return index1;
            }
        }
        return null;
    }
}

四、总结

  • 快慢指针还可以倍速的方式前进
  • 当快指针速度是慢指针速度两倍的时候,如果相遇一定有环
  • 如果有环,则慢指针最多走了一圈
  • 相遇点到环入口一定等于起点到环入口的距离!

感谢大家的阅读,我是Alson_Code,一个喜欢把简单问题复杂化,把复杂问题简单化的程序猿! ❤