解决训练难题,1000层的Transformer来了,训练代码很快公开

407 阅读11分钟

1000 层的 Transformer,深得吓人。

昨日出炉的论文《DeepNet: Scaling Transformers to 1,000 Layers》在研究社区引起了热议,作者来自微软亚洲研究院。

该研究直接把 Transformer 深度提升到 1000 层!

下面让我们看下这篇研究说了什么。

近年来,大规模 Transformer 模型出现了这样一种趋势:随着模型参数从数百万增加至数十亿甚至数万亿,性能相应地实现了显著提升。大规模模型在一系列任务上都取得了 SOTA 性能,并在小样本和零样本学习设置下展现出了令人瞩目的能力。如下图 1 所示,尽管参数量已经很大了,但 Transformer 模型的深度(depth)却受到了训练不稳定的限制。

图片

Nguyen 和 Salazar (2019) 发现,基于 post-norm 连接(Post-LN),pre-norm 残差连接(Pre-LN)能够提升 Transformer 的稳定性。但是,Pre-LN 在底层的梯度往往大于顶层,因而导致与 Post-LN 相比性能下降。为了缓解这一问题,研究人员一直努力通过更好的初始化或更好的架构来改进深度 Transformer 的优化。这些方法可以使多达数百层的 Transformer 模型实现稳定化,然而以往的方法没有能够成功地扩展至 1000 层。

微软亚研在一篇新论文《DeepNet: Scaling Transformers to 1,000 Layers》中终于将 Transformer 的深度扩展到了 1000 层。

图片

论文地址:arxiv.org/pdf/2203.00…

研究者的目标是提升 Transformer 模型的训练稳定性,并将模型深度进行数量级的扩展。为此,他们研究了不稳定优化的原因,并且发现爆炸式模型更新是造成不稳定的罪魁祸首。基于这些观察,研究者在残差连接处引入了一个新的归一化函数 —— DEEPNORM,它在将模型更新限制为常数时具有理论上的合理性。

这一方法简单但高效,只需要改变几行代码即可。最终,该方法提升了 Transformer 模型的稳定性,并实现了将模型深度扩展到了 1000 多层。

此外,实验结果表明,DEEPNORM 能够将 Post-LN 的良好性能和 Pre-LN 的稳定训练高效结合起来。研究者提出的方法可以成为 Transformers 的首选替代方案,不仅适用于极其深(多于 1000 层)的模型,也适用于现有大规模模型。

值得指出的是,在大规模多语言机器翻译基准上,文中 32 亿参数量的 200 层模型(DeepNet)比 120 亿参数量的 48 层 SOTA 模型(即 Facebook AI 的 M2M 模型)实现了 5 BLEU 值提升。

有知乎网友疑问:就实现效果来说,1000 层是否有必要?论文作者之一董力(Li Dong)表示,1000 层更多地是为了探究上限,实际跑的过程中并非一定要上千层。此外,训练代码很快就会公开。

图片

DEEPNORM 方法

如下图 2 所示,使用 PostLN 实现基于 Transformer 的方法很简单。与 Post-LN 相比,DEEPNORM 在执行层归一化之前 up-scale 了残差连接。

图片

图 2:(a) DEEPNORM 的伪代码,例如可以用其他标准初始化代替 Xavier 初始化 (Glorot and Bengio, 2010) ,其中 α 是一个常数。(b) 不同架构的 DEEPNORM 参数(N 层编码器,M 层解码器)。

此外,该研究还在初始化期间 down-scale 了参数。值得注意的是,该研究只扩展了前馈网络的权重,以及注意力层的值投影和输出投影。此外,残差连接和初始化的规模取决于图 2 中不同的架构。

深度 Transformer 的不稳定性

该研究分析了深度 Transformer 不稳定的原因。

首先,研究者观察发现:更好的初始化方法可以让 Transformer 的训练更稳定。之前的工作(Zhang et al., 2019a; Huang et al., 2020; Xu et al., 2021)也证实了这一点。

因此,研究者分析了有无适当初始化的 Post-LN 的训练过程。通过更好的初始化,在执行 Xavier 初始化后通过图片down-scale 第 l 层的权重。例如,第 l 层 FFN 的输出投影图片被初始化为图片其中 d’是输入和输出维度的平均值。研究者将此模型命名为 Post-LN-init。请注意,与之前的工作(Zhang et al., 2019a)不同, Post-LN-init 是缩窄了较低层的扩展而不是较高层。研究者相信这种方法有助于将梯度扩展的影响与模型更新区分开来。此外,Post-LN-init 与 Post-LN 具有相同的架构,从而消除了架构的影响。

该研究在 IWSLT-14 De-En 机器翻译数据集上训练了 18L-18L Post-LN 和 18L-18L Post-LN-init。图 3 可视化了它们的梯度和验证损失曲线。如图 3 (c) 所示,Post-LN-init 收敛,而 Post-LN 没有。Post-LN-init 在最后几层中具有更大的梯度范数,尽管其权重已按比例缩小。此外,研究者可视化最后一个解码器层的梯度范数,模型深度从 6L-6L 到 24L-24L。

下图 3 显示,无论模型深度如何,最后一层 Post-LN-init 的梯度范数仍远大于 Post-LN 的梯度范数。得出的结论是,深层梯度爆炸不应该是 Post-LN 不稳定的根本原因,而模型更新的扩展往往可以解释这一点。

图片

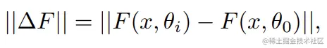
然后研究者证明 Post-LN 的不稳定性来自一系列问题,包括梯度消失以及太大的模型更新。如图 4 (a) 所示,他们首先可视化模型更新的范数 ||ΔF|| 在训练的早期阶段:

图片

其中 x 和 θ_i 分别代表输入和第 i 次更新后的模型参数。Post-LN 在训练一开始就有爆炸式的更新,然后很快就几乎没有更新了。这表明该模型已陷入虚假的局部最优。

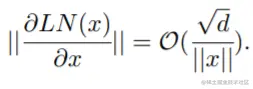
warm-up 和更好的初始化都有助于缓解这个问题,使模型能够顺利更新。当更新爆炸时,LN 的输入会变大(见图 4 (b) 和图 4 (c))。根据 Xiong 等人 (2020) 的理论分析,通过 LN 的梯度大小与其输入的大小成反比:

图片

相比于没有 warm-up 或正确初始化的情况,图 4 (b) 和图 4 (c) 表明 ||x|| 的明显大于图片。这解释了 Post-LN 训练中出现的梯度消失问题(见图 4 (d))。

最重要的是,不稳定性始于训练开始时的大型模型更新。它使模型陷入糟糕的局部最优状态,这反过来又增加了每个 LN 的输入量。随着训练的继续,通过 LN 的梯度变得越来越小,从而导致严重的梯度消失,使得难以摆脱局部最优,并进一步破坏了优化的稳定性。相反,Post-LN-init 的更新相对较小,对 LN 的输入是稳定的。这减轻了梯度消失的问题,使优化更加稳定。

DeepNet:极深的 Transformer 模型

研究者首先介绍了极深的 Transformer 模型 ——DeepNet,该模型可以通过缓解爆炸式模型更新问题来稳定优化过程。

DeepNet 基于 Transformer 架构。与原版 Transformer 相比,DeepNet 在每个子层使用了新方法 DEEPNORM,而不是以往的 Post-LN。DEEPNORM 的公式如下所示。

图片

其中,α 是一个常数,G_l (x_l , θ_l) 是参数为 θ_l 的第 l 个 Transformer 子层(即注意力或前馈网络)的函数。DeepNet 还将残差内部的权重 θ_l 扩展了 β。

接着,研究者提供了对 DeepNet 模型更新预期大小(expected magnitude)的估计。

他们可视化了 IWSLT-14 De-En 翻译数据集上,Post-LN 和 DeepNet 在早期训练阶段的模型更新情况,如下图 5 所示。可以看到,相较于 Post-LN,DeepNet 的模型更新几乎保持恒定。

图片

最后,研究者提供理论分析,以表明 DeepNet 的更新受到了 DEEPNORM 的常数限制。具体地,他们展示了 DeepNet 的预期模型更新受到了适当参数 α 和 β 的常数限制。研究者的分析基于 SGD 更新,并通过实证证明对 Adam 优化器效果很好。

研究者提供了对编码器 - 解码器架构的分析,它能够以相同的方式自然地扩展到仅编码器和仅解码器的模型。具体如下图所示,他们将模型更新的目标设定如下:

图片

仅编码器(例如 BERT)和仅解码器(例如 GPT)架构的推导能够以相同的方式进行。研究者将步骤总结如下:

图片

神经机器翻译

该研究验证了 DeepNet 在流行的机器翻译基准上的有效性,包括 IWSLT-14 德语 - 英语 (De-En) 数据集和 WMT-17 英语 - 德语 (En-De) 数据集。该研究将 DeepNet 与多个 SOTA 深度 Transformer 模型进行比较,包括 DLCL 、NormFormer 、ReZero 、R- Fixup 、T-Fixup 、DS-init 和 Admin。

下表 1 报告了 WMT-17 En-De 翻译数据集上的基线和 DeepNet 的结果:

图片

下图 6 显示了 IWSLT-14 数据集的结果

图片

下图 7 报告了 WMT-17 验证集的损失曲线

图片

大规模多语言神经机器翻译

该研究首先使用 OPUS-100 语料库来评估模型。OPUS100 是一个以英语为中心的多语言语料库,涵盖 100 种语言,是从 OPUS 集合中随机抽取的。该研究将 DeepNet   扩展到 1,000 层,该模型有一个 500 层的编码器、 500 层的解码器、512 个隐藏大小、8 个注意力头和 2,048 维度的前馈层。

下表 2 总结了 DeepNet 和基线的结果。结果表明,增加网络深度可以显着提高 NMT 的翻译质量:48 层的模型比 12 层的模型平均获得 3.2 点的提高。DeepNet  可以成功地将深度扩展到 1,000 层,比基线提高 4.4 BLEU。值得注意的是,DeepNet 只训练了 4 个 epoch,并且在计算预算更多的情况下,性能可以进一步提高。

图片

深度扩展规律:该研究在 OPUS100 数据集上训练具有 {12,20,100,200,1000} 层的 DeepNet,下图 8 显示了深度扩展曲线。与双语 NMT 相比,多语 NMT 从扩展模型深度受益更多。可以观察到多语 NMT 的 BLEU 值呈对数增长,规律可以写成:L (d) = A log (d) + B,其中 d 是深度,A, B 是关于其他超参数的常数。

图片

更多数据和语言说明:为了探索 DeepNet 在多语 NMT 上的局限性,该研究随后使用 Schwenk 等人提出的 CCMatrix 扩展训练数据。此外,该研究还扩展了 CCAligned 、OPUS 和 Tatoeba 的数据,以涵盖 Flores101 评估集的所有语言。最终的数据由 102 种语言、1932 个方向和 12B 对句子组成。利用这些数据,该研究用 100 层编码器、100 层解码器、1024 个隐藏维度、16 个头、4096 个前馈层中间维度对 DeepNet 进行训练。

该研究将 DeepNet 与 SOTA 多语 NMT 模型 M2M-100 进行了比较。M2M-100 有一个 24 层的编码器、一个 24 层的解码器和 4,096 个隐藏大小,从而产生高达 12B 的参数。与 M2M-100 相比,DeepNet 深而窄,参数只有 3.2B。

在 M2M-100 之后,该研究在几个多语言翻译评估数据集上评估模型,包括 WMT、OPUS 、TED、 Flores。WMT 的语言对是以英语为中心的。包括英语在内的 10 种语言,其中大部分是高资源语言。对于 OPUS 数据集,该研究从包含 30 个评估对的测试集中选择非英语方向。TED 评估集有 28 种语言和 756 个方向,数据来自口语领域。Flores 数据集包含 102 种语言之间的所有翻译对。该研究使用涵盖 M2M-100 和  DeepNet  支持的语言的子集,产生 87 种语言和 7,482 个翻译方向。

下表 3 报告了结果,为了公平比较,该研究使用与基线相同的评估方法。结果表明 DeepNet 在所有评估数据集上的性能都明显优于 M2M-100,表明深化模型是提高 NMT 模型质量的一个非常有前景的方向。

图片

感兴趣的读者可阅读论文原文,了解更多细节内容。

最后欢迎大家关注我的微信公众号: 对白的算法屋duibainotes),跟踪NLP、推荐系统和对比学习等机器学习领域前沿,日常还会分享我的创业心得和人生感悟。想进一步交流的同学也可以通过公众号加我的微信,和我一同探讨技术问题,谢谢!