攻不下dfs不参加比赛(二)

167 阅读2分钟

Offer 驾到,掘友接招!我正在参与2022春招系列活动-刷题打卡任务,点击查看活动详情

为什么练dfs

相信学过数据结构的朋友都知道dfs(深度优先搜索)是里面相当重要的一种搜索算法,可能直接说大家感受不到有条件的大家可以去看看一些算法比赛。这些比赛中每一届或多或少都会牵扯到dfs,可能提到dfs大家都知道但是我们为了避免眼高手低有的东西看着自己很明白就是写不出来。为了避免这种尴尬我们这几天乘着这个活动练练,好了我们话不多说开始肥学。

题目

给你一个二叉树的根节点 root ,判断其是否是一个有效的二叉搜索树。

有效 二叉搜索树定义如下:

节点的左子树只包含 小于 当前节点的数。
节点的右子树只包含 大于 当前节点的数。
所有左子树和右子树自身必须也是二叉搜索树。

在这里插入图片描述

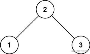
示例 1:


输入:root = [2,1,3]
输出:true
示例 2

在这里插入图片描述


输入:root = [5,1,4,null,null,3,6]
输出:false
解释:根节点的值是 5 ,但是右子节点的值是 4

思路:如果该二叉树的左子树不为空,则左子树上所有节点的值均小于它的根节点的值; 若它的右子树不空,则右子树上所有节点的值均大于它的根节点的值;它的左右子树也为二叉搜索树。

/**
 * Definition for a binary tree node.
 * public class TreeNode {
 *     int val;
 *     TreeNode left;
 *     TreeNode right;
 *     TreeNode() {}
 *     TreeNode(int val) { this.val = val; }
 *     TreeNode(int val, TreeNode left, TreeNode right) {
 *         this.val = val;
 *         this.left = left;
 *         this.right = right;
 *     }
 * }
 */
class Solution {
    public boolean isValidBST(TreeNode root) {
        return isValidBST(root, Long.MIN_VALUE, Long.MAX_VALUE);
    }

    public boolean isValidBST(TreeNode node, long right, long left) {//node表示当前节点,right表示当前节点在根的右边
        if (node == null) {
            return true;
        }
        if ( right>=node.val  || node.val >= left) {//表示左边节点要比根小否则错误,右边节点一定要比根大否则错误
            return false;
        }
        return isValidBST(node.left, right, node.val) && isValidBST(node.right, node.val, left);
    }
}

总结

总结:不能简单的就是判断左节点比根节点小或者右节点比根节点大,不然会出现这种情况 在这里插入图片描述 所以需要的结果是根节点左边所有的节点都要小于根节点,右边都要大于它