考研数据结构(每日一题)day14

118 阅读1分钟

考研数据结构(每日一题)

题目:设在一个带表头结点的单链表中所有元素结点的数据值无序,试编写一个函数,删除表中所有介于给定的两个值(作为函数参数给出)之间的元素的元素(若存在)

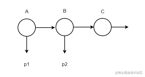
算法图解:

Snipaste_2022-03-04_09-47-43.png

算法思想:

设置两个工作结点,一个指针指向A,一个指针指向B,对p2进行判断,如果判断p2需要删除,则对p1的指针进行修改

完整代码:

void RangDelete(LinkList &L,int min,int max){
    LNode *pr = L,*p = L -> link;     //p是检测指针,pr是其前驱
    while(p != NULL){
        if(p -> data > min && p -> data < max){   //寻找到被删结点,删除
            pr -> link = p -> link;
            free(p);
            p = pr -> link;
        }else{          //否则继续寻找被测结点
            pr = p;
            p = p -> link;
        }
    }
}