Zookeeper基础应用

156 阅读8分钟

Zookeeper简介

基本概念

Zookeeper是一个开源的分布式协调服务。其设计目标是将那些复杂的容易出错的分布式一致性服务封装起来,以简单的接口提供给用户使用。它是一个典型的分布式数据一致性的解决方案,分布式应用程序可以基于它实现如:发布/订阅、负载均衡、集群管理、分布式锁、分布式队列等功能。

名词概念

  1. 集群角色

Zookeeper集群中有三种角色:Leader、Follower、Observer。Leader提供读和写服务。Follower和Observer能提供读服务。Observer和Follower的区别就在于Observer不参与Leader选举,不参与写操作的过半成功策略。

因此Observer可以在不影响写性能的情况下,提升集群的性能。如果没有Observer的话,一个Leader和N个Follower,如果Follower特别多的话,虽然读性能提高了,但是写性能和选举的性能会受影响。

  1. 会话(session)

客户端会话,一个客户端连接是指客户端和服务端之间的一个TCP长连接。客户端启动的时候,首先会和服务器建立一个TCP长连接,从第一次建立连接开始,会话(session)的生命周期就开始了。通过这个连接,客户端能够通过心跳检测与服务器保持有效的会话,也能够向Zookeeper服务器发送请求,同时还能接受服务器的Watch事件通知。

  1. 数据节点(Znode)

Zookeeper数据模型中的一个单元,我们称之为数据节点。Zookeeper将所有数据存储在内存中,数据模型是一棵树,由斜杠进行分割的路径,就是一个Znode。如/app。每个Znode都能保存自己的数据内容,还会保存属性信息。 4. 版本

每个Znode都有一个叫作Stat的数据结构,Stat里记录了Znode的三个数据版本,分别是version(当前Znode的版本)、cversion(当前Znode子节点的版本)、aversion(当前Znode的ACL版本) 5. Watcher(事件监听器)

Watcher是Zookeeper中一个很重要的特性,Zookeeper允许用户在指定节点上注册一些Watcher,并且在一些特定事件触发的时候,Zookeeper服务端会将事件通知到感兴趣的客户端,该机制是Zookeeper实现分布式协调服务的重要特性。 6. ACL

Zookeeper采用ACL策略来进行权限控制,它定义了五种权限:

  • CREATE:创建子节点的权限
  • READ:获取节点数据和子节点列表的权限
  • WRITE:更新节点数据的权限
  • DELETE:删除子节点的权限
  • ADMIN:设置子节点ACL的权限。

注意:CREATE和DELETE这两种权限是针对子节点的权限控制

Znode的节点内容

cZxid 就是 Create ZXID,表示节点被创建时的事务ID。
ctime 就是 Create Time,表示节点创建时间。
mZxid 就是 Modified ZXID,表示节点最后⼀次被修改时的事务ID。
mtime 就是 Modified Time,表示节点最后⼀次被修改的时间。
pZxid 表示该节点的⼦节点列表最后⼀次被修改时的事务 ID。只有⼦节点列表变更才会更新 pZxid,
⼦节点内容变更不会更新。
cversion 表示⼦节点的版本号。
dataVersion 表示内容版本号。
aclVersion 标识acl版本
ephemeralOwner 表示创建该临时节点时的会话 sessionID,如果是持久性节点那么值为 0
dataLength 表示数据⻓度。
numChildren 表示直系⼦节点数。

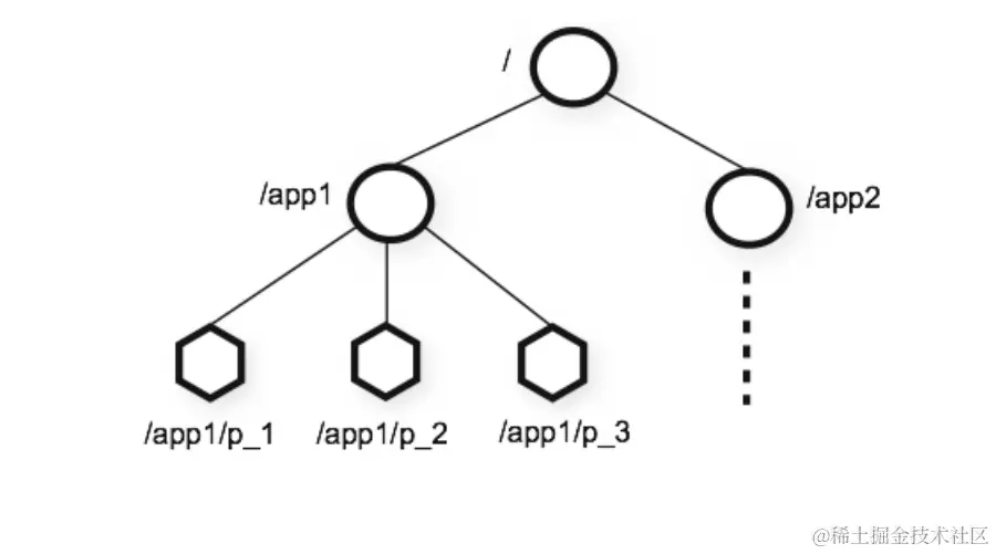
Zookeeper数据模型Znode

在Zookeeper中,数据信息被保存在一个个数据节点上,这些节点被称为Znode。在Znode下面又可以再挂ZNode,这样一层层下去就形成了一个Znode树,它采用了类似文件系统的层级树状结构进行管理。如下图示例:

Znode有4种类型:

  • 持久节点

节点被创建后会一直存在服务器,知道主动删除

  • 持久顺序节点

就是有顺序的持久节点,实质上是在创建节点的时候,会在节点名后面加上一个数字后缀,来表示其顺序

  • 临时节点

就是会被自动清理掉的节点,它的生命周期和客户端会话绑在一起,客户端会话结束,节点就会被删除。且临时节点下不能创建子节点

  • 临时顺序节

有顺序的临时节点

Zookeeper命令行

  1. 客户端连接
 ./zkCli.sh   #连接本地的zookeeper服务器
 ./zkCli.sh -server ip:port   # 连接远程的服务器

连接成功之后,系统会输出Zookeeper的相关环境及配置信息等信息

  1. 创建节点
 create [-s] [-e] [-c] [-t ttl] path [data] [acl]
 
 #创建顺序节点
 create -s /cc
 
 #创建临时节点,客户端会话结束后,节点会自动删除
 create -e /temp
 
 #创建带内容的节点
 create /hi nihao
  1. 读取节点
#ls命令会列出path节点下所有的子节点
ls path

#get命令会查询到path节点的数据内容,加上-s可以查询更详细的信息
get [-s] path
  1. 更新节点
set [-s] [-v version] path data

#修改/abc节点的内容为hello,加上-s会返回更详细的信息
set /abc hello
  1. 删除节点
#删除,如果带上了版本参数,那么删除的时候就会校验版本是否正确,正确才进行删除
delete [-v version] path

Zookeeper 客户端API

官方原生API

<dependency>
    <groupId>org.apache.zookeeper</groupId>
    <artifactId>zookeeper</artifactId>
    <version>3.4.14</version>
</dependency>

很少直接使用了,接口介绍省略

ZkClient API

ZkClient是github上一个开源的zookeeper客户端,在原生API的基础上进行了包装,更加易用。同时还实现了如Session超时重连、Watcher反复注册等功能。

<dependency>
    <groupId>com.101tec</groupId>
    <artifactId>zkclient</artifactId>
    <version>0.2</version>
</dependency>

直接上代码:


public class ClientDemo {

    private static final String connectStr="192.168.56.115:2181";

    public static void main(String[] args) throws InterruptedException {
//        create();
//        delete();
//        get();
        getData();

    }

    public static void create() throws InterruptedException {
        ZkClient zkClient=new ZkClient(connectStr);
        //第二个参数,true代表递归创建节点,没有父节点先创建父节点
        zkClient.createPersistent("/test/node01",true);
        //持久有序的node
        zkClient.createPersistentSequential("/test/node02","data");
        //临时node
        zkClient.createEphemeral("/ephemeral");
    }

    public static void delete(){
        ZkClient zkClient=new ZkClient(connectStr);
        //普通删除
        zkClient.delete("/test");
        //遍历删除,先删除该节点的所有子节点,再删除它本身
        zkClient.deleteRecursive("/test");
    }


    public static void get() throws InterruptedException {
        ZkClient zkClient=new ZkClient(connectStr);
        List<String> children = zkClient.getChildren("/test");
        System.out.println("子节点:"+children);

        zkClient.subscribeChildChanges("/watch", new IZkChildListener() {
            @Override
            public void handleChildChange(String s, List<String> list) throws Exception {
                System.out.println(s + " child changed,list:" + list);
            }
        });

        zkClient.createPersistent("/watch");
        Thread.sleep(1000);
        zkClient.createPersistent("/watch/test");
        Thread.sleep(1000);
        zkClient.delete("/watch/test");
        Thread.sleep(1000);
        zkClient.delete("/watch");

    }

    //获取数据
    public static void getData() throws InterruptedException {
        ZkClient zkClient=new ZkClient(connectStr);
        String path="/abc";
        boolean exists = zkClient.exists(path);
        System.out.println("节点是否存在:"+exists);
        if(!exists){
            zkClient.createEphemeral(path,"123");
        }

        //数据改变监听
        zkClient.subscribeDataChanges(path, new IZkDataListener() {
            @Override
            public void handleDataChange(String s, Object o) throws Exception {
                System.out.println("节点:"+s+" 数据被改变:"+o);
            }

            @Override
            public void handleDataDeleted(String s) throws Exception {
                System.out.println("节点被删除:"+s);
            }
        });
        //读取数据
        Object o = zkClient.readData(path);
        System.out.println("读取节点的数据:"+o);
        Thread.sleep(3000);

        //更新数据
        Stat stat = zkClient.writeData(path, "456");
        Thread.sleep(3000);

        //删除数据
        zkClient.delete(path);
        Thread.sleep(3000);
    }
}

Curator API

Curator是Netflix公司开源的客户端框架。它实现了连接重连、Watcher反复注册、重试策略和NodeExistsException异常解决等等。

<dependency>
    <groupId>org.apache.curator</groupId>
    <artifactId>curator-framework</artifactId>
    <version>2.12.0</version>
</dependency>

直接上代码:


public class CuratorDemo {

    private static final String connectStr="192.168.56.115:2181";
    private static String path ="/abc";


    public static void main(String[] args) throws Exception {
//        connect();
//        create();
//        delete();
//        get();
        update();
    }

    public static void connect(){
        //连接方式1
        /*
        构造器含有三个参数 ExponentialBackoffRetry(int
        baseSleepTimeMs, int maxRetries, int maxSleepMs)
        baseSleepTimeMs:初始的sleep时间,⽤于计算之后的每次重试的sleep时间,
        计算公式:当前sleep时间=baseSleepTimeMs*Math.max(1,
        random.nextInt(1<<(retryCount+1)))
        maxRetries:最⼤重试次数
        maxSleepMs:最⼤sleep时间,如果上述的当前sleep计算出来⽐这个⼤,那么sleep⽤
        这个时间,默认的最⼤时间是Integer.MAX_VALUE毫秒。
         */
        RetryPolicy retryPolicy = new ExponentialBackoffRetry(1000, 3);
        CuratorFramework client = CuratorFrameworkFactory.newClient(connectStr, 5000, 3000, retryPolicy);
        client.start();

        //连接方式2
        CuratorFramework Client = CuratorFrameworkFactory.builder()
                .connectString("server1:2181,server2:2181,server3:2181")
                .sessionTimeoutMs(50000)
                .connectionTimeoutMs(30000)
                .retryPolicy(retryPolicy)
                .build();
        client.start();
    }


    public static void create() throws Exception {
        RetryPolicy retryPolicy = new ExponentialBackoffRetry(1000, 3);
        CuratorFramework client = CuratorFrameworkFactory.newClient(connectStr, 5000, 30000, retryPolicy);
        client.start();

        Thread.sleep(2000);
        //创建一个内容为空的节点,curator默认是创建持久节点
//        client.create().forPath(path);
        //创建一个有内容的节点
        client.create().forPath(path,"123".getBytes());
        //调用creatingParentsIfNeeded 接口,Curator 就能够自动地递归创建所有需要的父节点
        client.create().creatingParentsIfNeeded().withMode(CreateMode.EPHEMERAL).forPath("/tt");
    }

    public static void delete() throws Exception {
        RetryPolicy retryPolicy = new ExponentialBackoffRetry(1000, 3);
        CuratorFramework client = CuratorFrameworkFactory.newClient(connectStr, 5000, 30000, retryPolicy);
        client.start();

        //删除节点
        client.delete().forPath(path);
        //删除节点,并递归删除子节点
        client.delete().deletingChildrenIfNeeded().forPath(path);
        //指定版本删除ls
        client.delete().withVersion(1).forPath(path);
        //强制删除。只要客户端会话有效,那么Curator会在后台持续进⾏删除操作,直到节点删除成功。⽐如遇到⼀些⽹
        //络异常的情况,此guaranteed的强制删除就会很有效果
        client.delete().guaranteed().forPath(path);
    }


    public static void get() throws Exception {
        RetryPolicy retryPolicy = new ExponentialBackoffRetry(1000, 3);
        CuratorFramework client = CuratorFrameworkFactory.newClient(connectStr, 5000, 30000, retryPolicy);
        client.start();

        //普通查询
        byte[] bytes = client.getData().forPath(path);
        System.out.println("节点内容:"+new String(bytes));
        // 包含状态查询
        Stat stat = new Stat();
        byte[] bytes1 = client.getData().storingStatIn(stat).forPath(path);
        System.out.println(stat.getVersion());
    }

    public static void update() throws Exception {
        RetryPolicy retryPolicy = new ExponentialBackoffRetry(1000, 3);
        CuratorFramework client = CuratorFrameworkFactory.newClient(connectStr, 5000, 30000, retryPolicy);
        client.start();

        // 普通更新
        client.setData().forPath(path,"新内容".getBytes());
        // 指定版本更新 当携带数据版本不⼀致时,无法完成更新操作
        // 异常信息:Exception in thread "main" org.apache.zookeeper.KeeperException$BadVersionException: KeeperErrorCode = BadVersion for /abc
        client.setData().withVersion(1).forPath(path,"abcd".getBytes());
    }