[链表]删除链表的倒数第N个节点

156 阅读2分钟

Offer 驾到,掘友接招!我正在参与2022春招打卡活动,点击查看活动详情

一、题目描述

原文链接:删除链表的倒数第N个节点 具体描述: 给你一个链表,删除链表的倒数第 n 个结点,并且返回链表的头结点。

示例 1:

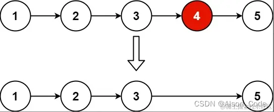
在这里插入图片描述

输入:head = [1,2,3,4,5], n = 2 输出:[1,2,3,5]

示例 2:

输入:head = [1], n = 1 输出:[]

示例 3:

输入:head = [1,2], n = 1 输出:[1]

提示:

  • 链表中结点的数目为 sz
  • 1 <= sz <= 30
  • 0 <= Node.val <= 100
  • 1 <= n <= sz



二、思路分析+AC代码

首先不管怎么做,只要是链表,我们都要设置一个虚拟节点ListNode nummy = new ListNode(-1, head) 来代表头指针!这样不需要单独考虑头节点! ​

这道题有两种解法,一种暴力解法,另一种是双指针算法! ​

那我们先从暴力解法说吧!

  • 第一步求出链表的长度count
  • n是从后往前数,通过count - n > 0 往前数,找到删除节点的前缀节点!
  • 通过pre.next = pre.next.next删除节点!

来瞅瞅代码吧!

class Solution {
    public ListNode removeNthFromEnd(ListNode head, int n) {
        ListNode nummy = new ListNode(-1, head);
        ListNode cur = nummy;
        int count = 0;
        while (cur.next != null){
            count++;
            cur = cur.next;
        }
        ListNode pre = nummy;
        while (count - n > 0){
            pre = pre.next;
            count --;
        }

        pre.next = pre.next.next;
        return nummy.next;
    }
}


第二种解法就是万能的双指针解法,为什么说是万能解法那,针对数组题目基本上都可以用双指针来做!真的是YYDS!

  • 双指针,双指针,两个指针,一个快指针fast,一个slow慢指针!
  • 先让快指针先走n + 1步骤,然后快指针与慢指针一直移动,直到fast == null结束
  • 然后慢指针就是删除节点的前一个节点,则通过slow.next = slow.next.next删除节点!

注意一点,快指针先走n + 1步骤,因为有一个虚拟头指针! ​

来瞅瞅代码吧!


class Solution {
    public ListNode removeNthFromEnd(ListNode head, int n) {
        // 双指针做法
        ListNode nummy = new ListNode(-1, head);
        ListNode slow = nummy;
        ListNode fast = nummy;
        while (n-- >= 0){
            fast = fast.next;
        }
        while (fast != null){
            slow = slow.next;
            fast = fast.next;
        }
        slow.next = slow.next.next;
        return nummy.next;
    }
}



三、总结

  • 遇见链表就要想到添加一个虚拟节点
  • 不会的时候想想双指针做法,是快慢指针,还是一头一尾指针!

感谢大家的阅读,我是Alson_Code,一个喜欢把简单问题复杂化,把复杂问题简单化的程序猿! ❤