LeetCode 142 环形链表 II

91 阅读2分钟

参加了 kkb 的门徒培训,想要记录下自己的成长过程。每天一篇,坚持不断更。

题目描述

给定一个链表的头节点  head ,返回链表开始入环的第一个节点。 如果链表无环,则返回 null

如果链表中有某个节点,可以通过连续跟踪 next 指针再次到达,则链表中存在环。 为了表示给定链表中的环,评测系统内部使用整数 pos 来表示链表尾连接到链表中的位置(索引从 0 开始)。如果 pos 是 -1,则在该链表中没有环。注意:pos 不作为参数进行传递,仅仅是为了标识链表的实际情况。

不允许修改 链表。

 

示例 1:

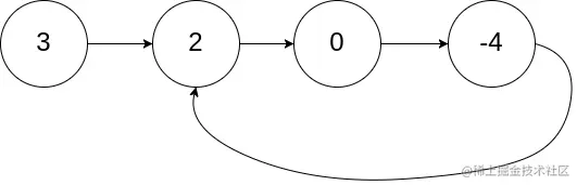
输入: head = [3,2,0,-4], pos = 1
输出: 返回索引为 1 的链表节点
解释: 链表中有一个环,其尾部连接到第二个节点。

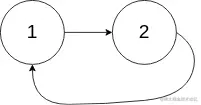
示例 2:

输入: head = [1,2], pos = 0
输出: 返回索引为 0 的链表节点
解释: 链表中有一个环,其尾部连接到第一个节点。

示例 3:

输入: head = [1], pos = -1
输出: 返回 null
解释: 链表中没有环。

 

提示:

  • 链表中节点的数目范围在范围 [0, 104] 内
  • -105 <= Node.val <= 105
  • pos 的值为 -1 或者链表中的一个有效索引

解题思路

这里同样是用快慢指针的方式

快慢指针

需要计算环的节点

设节点为 x
已知快指针与慢指针相遇,另快指针走的距离为 q,慢指针为 s,c 为一圈
s = q - c
s = 2s - c
另 y 为 慢指针走过节点后的距离
x + y = 2(x + y) - c
x + y = c
x = c - y

c - y 为慢指针走完一圈需要再走多久

看出什么了么?

若我们再从初始点出发,慢指针在与快指针相遇处再向前走,我们会在环的节点处相遇

实现一下

var detectCycle = function(head) {
  // 初始阶段判空
  if (!head || !head.next) return null;

  let slow = head;
  let quick = head;

  do {
    // 快慢指针前进
    slow = slow.next;
    quick = quick.next.next;
  } while (quick && quick.next && quick !== slow);

  if (quick === slow) {
    let start = head

    while (start !== slow) {
        slow = slow.next
        start = start.next
    }

    return start
  }

  return null
};