LeetCode 141 环形链表

104 阅读2分钟

参加了 kkb 的门徒培训,想要记录下自己的成长过程。每天一篇,坚持不断更。

题目描述

给你一个链表的头节点 head ,判断链表中是否有环。

如果链表中有某个节点,可以通过连续跟踪 next 指针再次到达,则链表中存在环。 为了表示给定链表中的环,评测系统内部使用整数 pos 来表示链表尾连接到链表中的位置(索引从 0 开始)。注意:pos 不作为参数进行传递 。仅仅是为了标识链表的实际情况。

如果链表中存在环 ,则返回 true 。 否则,返回 false 。

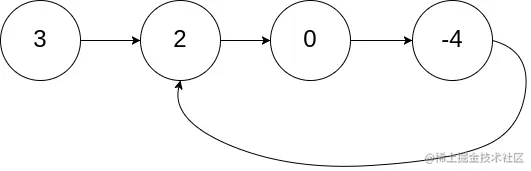
示例 1:

输入: head = [3,2,0,-4], pos = 1
输出: true
解释: 链表中有一个环,其尾部连接到第二个节点。

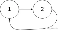
示例 2:

输入: head = [1,2], pos = 0
输出: true
解释: 链表中有一个环,其尾部连接到第一个节点。

示例 3:

输入: head = [1], pos = -1
输出: false
解释: 链表中没有环。

 

提示:

  • 链表中节点的数目范围是 [0, 104]
  • -105 <= Node.val <= 105
  • pos 为 -1 或者链表中的一个 有效索引 。

 

解题思路

遇到环形链表,我们最直观的方法就是用快慢指针的方法进行判断。就好似两个人在操场上跑步,一个快一个慢,如果快的那位将慢的那位套圈了,那么我们就能很清楚的知道他们是在跑环;反之,快的那位先到了终点,那么我们就知道他们在直线上比赛。

有了思路,就开始实现

快慢指针

/**
 * @param {ListNode} head
 * @return {boolean}
 */
var hasCycle = function (head) {
  // 初始阶段判断是否为空
  if (!head || !head.next) return false;

  // 快指针与慢指针在同一起跑线
  let slow = head;
  let quick = head;

  // 迈出第一步
  do {
    // 开始前进了
    slow = slow.next;
    quick = quick.next.next;
  } while (quick && quick.next && quick !== slow);

  // 判断是否套圈
  return quick === slow;
};