十道腾讯算法真题解析!

4,257 阅读6分钟

前言

大家好,我是捡田螺的小男孩。收集了腾讯常考的十道算法题(真题)。在金三银四,希望对大家有帮助呀。

  1. 重排链表
  2. 最长递增子序列
  3. 环形链表
  4. 反转链表
  5. 最长回文子串
  6. 全排列
  7. LRU 缓存
  8. 合并K个升序链表
  9. 无重复字符的最长子串
  10. 删除链表的倒数第 N 个结点
  • 公众号:捡田螺的小男孩

1. 重排链表

给定一个单链表 L 的头节点 head ,单链表 L 表示为:

L0 → L1 → … → Ln - 1 → Ln

请将其重新排列后变为:

L0 → Ln → L1 → Ln - 1 → L2 → Ln - 2 → …

输入:

head = [1,2,3,4]

输出:

[1,4,2,3]

思路:

如果是数组就好了,哈哈,因为数组可以直接通过下标访问,很容易就可以解答这道题了。但是这是链表。链表不支持下标访问,我们没办法随机访问到链表任意位置的元素,怎么办呢?

我们可以先遍历一下,用数组把链表的元素按顺序存储起来呀,然后就可以把它当做数组这么访问来用了对吧,最后重建下链表即可啦。

ArrayList的底层就是数组,我们先用它存储链表就好,如下:

 List<ListNode> list = new ArrayList<ListNode>();
 ListNode node = head;
 while (node != null) {
    list.add(node);
    node = node.next;
}

有了一个数组结构的链表后,如何重建链表呢? 回头多看示例两眼,很容易就发小规律啦:先排第1个,再排倒数第1个,接着排第2个,紧接着倒数第2个。显然这个规律很明显,代码也比较好实现:

int i = 0;
int j = list.size()-1;
while(i<j){
    list.get(i).next = list.get(j);
    i++;
    if(i==j){
      break;
   }
   list.get(j).next = list.get(i);
   j--;
}
//大家画个图就很清晰知道为什么需要这行了,哈哈
 list.get(i).next = null;

完整实现代码如下:

class Solution {
    public void reorderList(ListNode head) {
        if (head == null) {
            return;
        }
        List<ListNode> list = new ArrayList<ListNode>();
        ListNode node = head;
        while (node != null) {
            list.add(node);
            node = node.next;
        }
        int i = 0, j = list.size() - 1;
        while (i < j) {
            list.get(i).next = list.get(j);
            i++;
            if (i == j) {
                break;
            }
            list.get(j).next = list.get(i);
            j--;
        }
        list.get(i).next = null;
    }
}

2. 最长递增子序列

给你一个整数数组 nums ,找到其中最长严格递增子序列的长度。

实例1:

输入:nums = [10,9,2,5,3,7,101,18]
输出:4
解释:最长递增子序列是 [2,3,7,101],因此长度为 4 。

实例2:

输入:nums = [0,1,0,3,2,3]
输出:4

思路:

这道题是求最值问题,可以使用动态规划解决。动态规划的解题整体思路就是:

  1. 穷举分析
  2. 分析找规律,拆分子问题
  3. 确定边界
  4. 确定最优子结构
  5. 写出状态转移方程

2.1 穷举分析

动态规划的核心思想包括拆分子问题,记住过往,减少重复计算。 所以我们在思考原问题:数组num[i]的最长递增子序列长度时,可以思考下相关子问题,比如原问题是否跟子问题num[i-1]的最长递增子序列长度有关呢?

自底向上的穷举过程:

  • 当nums只有一个元素10时,最长递增子序列是[10],长度是1.
  • 当nums需要加入一个元素9时,最长递增子序列是[10]或者[9],长度是1。
  • 当nums再加入一个元素2时,最长递增子序列是[10]或者[9]或者[2],长度是1。
  • 当nums再加入一个元素5时,最长递增子序列是[2,5],长度是2。
  • 当nums再加入一个元素3时,最长递增子序列是[2,5]或者[2,3],长度是2。
  • 当nums再加入一个元素7时,,最长递增子序列是[2,5,7]或者[2,3,7],长度是3。
  • 当nums再加入一个元素101时,最长递增子序列是[2,5,7,101]或者[2,3,7,101],长度是4。
  • 当nums再加入一个元素18时,最长递增子序列是[2,5,7,101]或者[2,3,7,101]或者[2,5,7,18]或者[2,3,7,18],长度是4。
  • 当nums再加入一个元素7时,最长递增子序列是[2,5,7,101]或者[2,3,7,101]或者[2,5,7,18]或者[2,3,7,18],长度是4.

2.2 分析找规律,拆分子问题

通过上面分析,我们可以发现一个规律:

如果新加入一个元素nums[i], 最长递增子序列要么是以nums[i]结尾的递增子序列,要么就是nums[i-1]的最长递增子序列。看到这个,是不是很开心,nums[i]的最长递增子序列已经跟子问题 nums[i-1]的最长递增子序列有关联了。

原问题数组nums[i]的最长递增子序列 = 子问题数组nums[i-1]的最长递增子序列/nums[i]结尾的最长递增子序列

是不是感觉成功了一半呢?但是如何把nums[i]结尾的递增子序列也转化为对应的子问题呢?要是nums[i]结尾的递增子序列也跟nums[i-1]的最长递增子序列有关就好了。又或者nums[i]结尾的最长递增子序列,跟前面子问题num[j](0=<j<i)结尾的最长递增子序列有关就好了,带着这个想法,我们又回头看看穷举的过程:

nums[i]的最长递增子序列,不就是从以数组num[i]每个元素结尾的最长子序列集合,取元素最多(也就是长度最长)那个嘛,所以原问题,我们转化成求出以数组nums每个元素结尾的最长子序列集合,再取最大值嘛。哈哈,想到这,我们就可以用dp[i]表示以num[i]这个数结尾的最长递增子序列的长度啦,然后再来看看其中的规律:

其实,nums[i]结尾的自增子序列,只要找到比nums[i]小的子序列,加上nums[i] 就可以啦。显然,可能形成多种新的子序列,我们选最长那个,就是dp[i]的值啦

  • nums[3]=5,以5结尾的最长子序列就是[2,5],因为从数组下标0到3遍历,只找到了子序列[2]比5小,所以就是[2]+[5]啦,即dp[4]=2
  • nums[4]=3,以3结尾的最长子序列就是[2,3],因为从数组下标0到4遍历,只找到了子序列[2]比3小,所以就是[2]+[3]啦,即dp[4]=2
  • nums[5]=7,以7结尾的最长子序列就是[2,5,7]和[2,3,7],因为从数组下标0到5遍历,找到2,5和3都比7小,所以就有[2,7],[5,7],[3,7],[2,5,7]和[2,3,7]这些子序列,最长子序列就是[2,5,7]和[2,3,7],它俩不就是以5结尾和3结尾的最长递增子序列+[7]来的嘛!所以,dp[5]=3 =dp[3]+1=dp[4]+1。

很显然有这个规律:一个以nums[i]结尾的数组nums

  • 如果存在j属于区间[0,i-1],并且num[i]>num[j]的话,则有: dp(i) =max(dp(j))+1。

2.3 确定边界

当nums数组只有一个元素时,最长递增子序列的长度dp(1)=1,当nums数组有两个元素时,dp(2) =2或者1, 因此边界就是dp(1)=1。

2.4 确定最优子结构

从2.2 穷举分析找规律,我们可以得出,以下的最优结构:

dp(i) =max(dp(j))+1,存在j属于区间[0,i-1],并且num[i]>num[j]

max(dp(j)) 就是最优子结构。

2.5 写出状态转移方程

通过前面分析,我们就可以得出状态转移方程啦:

所以数组nums[i]的最长递增子序列就是:

最长递增子序列 =max(dp[i])

完整代码实现如下:

class Solution {
    public int lengthOfLIS(int[] nums) {
        if (nums.length == 0) {
            return 0;
        }
        int[] dp = new int[nums.length];
        //初始化就是边界情况
        dp[0] = 1;
        int maxans = 1;
        //自底向上遍历
        for (int i = 1; i < nums.length; i++) {
            dp[i] = 1;
            //从下标0到i遍历
            for (int j = 0; j < i; j++) {
                //找到前面比nums[i]小的数nums[j],即有dp[i]= dp[j]+1
                if (nums[j] < nums[i]) {
                    //因为会有多个小于nums[i]的数,也就是会存在多种组合了嘛,我们就取最大放到dp[i]
                    dp[i] = Math.max(dp[i], dp[j] + 1);
                }
            }
            //求出dp[i]后,dp最大那个就是nums的最长递增子序列啦
            maxans = Math.max(maxans, dp[i]);
        }
        return maxans;
    }
}

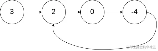
3. 环形链表

给定一个链表的头节点head ,返回链表开始入环的第一个节点。 如果链表无环,则返回 null。

实例:

输入:head = [3,2,0,-4], pos = 1
输出:返回索引为 1 的链表节点
解释:链表中有一个环,其尾部连接到第二个节点。

如果判断链表是否有环,我们可以使用快慢指针,快指针是慢指针速度的两倍,当两个指针相遇时,即表示有环。

boolean hasCycle(ListNode head ){

    ListNode slow = head;
    ListNode fast = head;
    while(fast!=null && fast.next!=null){
       fast = fast.next.next;
       slow = slow.next;
       if(fast==slow){
          return true;
       }
    }
    return false;
}

我们可以很容易就判断有环,但是如何返回入环的第一个节点呢?我们来画个图分析一波:

假设起点为A,入环点为B,快慢指针相遇点为C,慢指针走到相遇点为k步,B到C的距离为m。设环型周长为X。因为快指针速度是慢指针的2倍。则有:

K-m + X + m = 2K = 快指针走的举例

所以周长X = K。相遇后,快指针到继续往前走,走到入环点B,刚好距离是X-m = K-m。而起点到B节点,距离也是K-m。因此,快慢指针相遇后,慢指针回到起点,这时候快慢指针一样的速度走,相遇时,就是入环点啦,是不是无巧不成书呀,哈哈哈。

完整代码如下:

public class Solution {
    public ListNode detectCycle(ListNode head) {
        if(head ==null){
            return null;
        }
        ListNode fast = head;
        ListNode slow = head;
        while(fast!=null&&fast.next!=null){
            fast = fast.next.next;
            slow = slow.next;
            //快慢指针相等表示有环
            if(slow==fast){
               //回到起点一起相同速度走
               while(head!=fast){
                   head = head.next;
                   fast = fast.next;
               }
               return head;
            }

        }
        return null;
    }
}

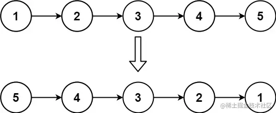
4. 反转链表

给你单链表的头节点 head ,请你反转链表,并返回反转后的链表。

输入:head = [1,2,3,4,5]
输出:[5,4,3,2,1]

完整代码如下:

class Solution {
    public ListNode reverseList(ListNode head) {

        ListNode prev = null;
        ListNode next = head;
        ListNode curr = head ;

        while(curr!=null){
            next =  curr.next ;
            curr. next = prev;
            prev = curr ;
            curr = next ;
        }

        return prev;
    }
}

之前图解过这道题,大家可以看下哈:

看一遍就理解,图解单链表反转

5. 最长回文子串

给你一个字符串 s,找到 s 中最长的回文子串。

实例1:

输入:s = "babad"
输出:"bab"
解释:"aba" 同样是符合题意的答案。

这道题可以使用中心扩展法实现,从中间开始向两边扩散来判断回文串。

for 0 <= i < len(s):
    找到以 s[i] 为中心的回文串
    更新答案

但是回文串可能是长度可能是奇数,也可能是偶数,因此需要加多一步:

for 0 <= i < len(s):
    找到以 s[i] 为中心的回文串
    找到以 s[i]s[i+1] 为中心的回文串
    更新答案

完整代码如下:

class Solution {
    public String longestPalindrome(String s) {

        if(s==null|| s.length()<2){
             return s;
        }

        String result ="";
        for(int i=0;i<s.length();i++){
            String r1 = subLongestPalindrome(s,i,i);
            String r2 = subLongestPalindrome(s,i,i+1);
            String tempMax= r1.length()>r2.length()? r1 :r2;
            result = tempMax.length()> result.length()?tempMax:result;
            
        }
        return result;

    }

    private String subLongestPalindrome(String s,int l,int r){
        while(l>=0&&r<s.length()&&s.charAt(l)==s.charAt(r)){
            l--;
            r++;
        }

        return s.substring(l+1,r);
    }
}

6.全排列

给定一个不含重复数字的数组 nums ,返回其 所有可能的全排列 。你可以 按任意顺序 返回答案。

示例 1:

输入:nums = [1,2,3]
输出:[[1,2,3],[1,3,2],[2,1,3],[2,3,1],[3,1,2],[3,2,1]]

示例 2:

输入:nums = [0,1]
输出:[[0,1],[1,0]]

这道题可以用回溯算法解决,完整代码如下:

class Solution {
    //全排列,即所有路径集合
    List<List<Integer>> allPath = new LinkedList<>();

    public List<List<Integer>> permute(int[] nums) {
        //当前路径,入口路径,path是空的
        List<Integer> path =  new LinkedList<>();
        //递归函数入口,可做选择是nums数组
        backTrace(nums,path);
        return allPath;
    }

    public void backTrace(int[] nums,List<Integer> path){
        //已走路径path的数组长度等于nums的长度,表示走到叶子节点,所以加到全排列集合
        if(nums.length==path.size()){
           allPath.add(new LinkedList(path));
           return;
        }

        for(int i=0;i<nums.length;i++){
            //剪枝,排查已经走过的路径
            if(path.contains(nums[i])){
                continue;
            }
            //做选择,加到当前路径
            path.add(nums[i]);
            //递归,进入下一层的决策
            backTrace(nums,path);
            //取消选择
            path.remove(path.size() - 1);
        }
    }
}

大家可以看下之前我写的这篇回溯文章哈,有回溯算法的框架套用。

面试必备:回溯算法详解

7. LRU 缓存

请你设计并实现一个满足 LRU (最近最少使用) 缓存 约束的数据结构。

实现 LRUCache 类:

  • LRUCache(int capacity) 以 正整数 作为容量 capacity 初始化 LRU 缓存
  • int get(int key) 如果关键字 key 存在于缓存中,则返回关键字的值,否则返回 -1 。
  • void put(int key, int value) 如果关键字 key 已经存在,则变更其数据值 value ;如果不存在,则向缓存中插入该组 key-value 。如果插入操作导致关键字数量超过 capacity ,则应该 逐出 最久未使用的关键字。

函数 get 和 put 必须以O(1) 的平均时间复杂度运行。

示例:

输入
["LRUCache", "put", "put", "get", "put", "get", "put", "get", "get", "get"]
[[2], [1, 1], [2, 2], [1], [3, 3], [2], [4, 4], [1], [3], [4]]
输出
[null, null, null, 1, null, -1, null, -1, 3, 4]

解释
LRUCache lRUCache = new LRUCache(2);
lRUCache.put(1, 1); // 缓存是 {1=1}
lRUCache.put(2, 2); // 缓存是 {1=1, 2=2}
lRUCache.get(1);    // 返回 1
lRUCache.put(3, 3); // 该操作会使得关键字 2 作废,缓存是 {1=1, 3=3}
lRUCache.get(2);    // 返回 -1 (未找到)
lRUCache.put(4, 4); // 该操作会使得关键字 1 作废,缓存是 {4=4, 3=3}
lRUCache.get(1);    // 返回 -1 (未找到)
lRUCache.get(3);    // 返回 3
lRUCache.get(4);    // 返回 4

这道题,出现的频率还是挺高的,很多小伙伴在面试时,都反馈自己遇到过原题

LRU,Least Recently Used,即最近使用过的数据是有用的,可以使用双链表+Hashmap解答,双链表用于存储LRUCache的数据,Hashmap实现O(1)的平均时间复杂度。

  • 每次从链表尾部添加元素,靠尾的元素就是最近使用过
  • 某个key可以通过哈希表快速定位到节点。

对于双链表,需要做哪些事呢。

  • 首先是链表初始化,为了方便处理i,虚拟一个头节点和尾结点。
  • 添加元素时,放到链表的尾部,表示该元素最近使用过
  • 删除双向链表的某个节点
  • 删除并返回头节点,表示删除最久未使用的元素
  • 返回链表当前长度

LRU缓存有哪些方法

  • 构造函数初始化方法
  • get和put方法
  • makeRecently 设置某个元素最近使用过的方法,哈希表已经有该元素
  • addRecently 添加最近使用过的元素,同时更新map
  • deleteKey 删除某个key对应的元素,同时删除map上的节点
  • removeLeastRecently 删除最久未使用的元素

完整代码如下:

class Node {

    int key,val;
    Node next,prev;
    public Node(int key,int val){
        this.key = key;
        this.val = val;
    }
}

class DoubleList {
    //虚拟出头节点和尾结点
    private Node head, tail;
    private int size;

    //初始化双链表
    public DoubleList() {
        //虚拟头结点
        head = new Node(0, 0);
        //虚拟头结点
        tail = new Node(0, 0);
        head.next = tail;
        tail.prev = head;
        size = 0;
    }

    //要加到链表尾部,且越靠近链表尾部,越表示最近使用过
    public void addLast(Node x) {
        //比如当前链表为: head <-> 1 <-> tail,加入结点x = 2
        x.prev = tail.prev;
        // 完成结点2指向两端的箭头  head <-> 1 <- 2 -> tail; 此时tail.pre = 结点1还未断开
        x.next = tail;
        //head <-> 1 <-> 2 -> tail;
        tail.prev.next = x;
        //head <-> 1 <-> 2 <-> tail;
        tail.prev = x;
        //更新链表长度
        size++;
    }

    // 删除指定结点
    public void remove(Node x) {
        x.prev.next = x.next;
        x.next.prev = x.prev;
        size--;
    }

    // 删除并返回头结点
    public Node removeHead() {
        if (head.next == tail) {
            return null;
        }
        Node first = head.next;
        // size在remove中更新了
        remove(first);
        // 用作在哈希表中移除最久未使用的数据值
        return first;
    }

    // 获取链表长度
    public int getSize() {
        return size;
    }
}

public class LRUCache {

    private Map<Integer, Node> map;
    private DoubleList doubleList;
    private int cap;

    public LRUCache(int capacity) {
        this.map = new HashMap<>();
        this.doubleList = new DoubleList();
        this.cap = capacity;
    }

    public int get(int key) {
        if (map.containsKey(key)) {
            // 先将key标记为最近使用,再返回value
            makeRecently(key);
            return map.get(key).val;
        } else {
            return -1;
        }
    }

    public void put(int key, int value) {
        if (map.containsKey(key)) {
            deleteKey(key); // 从原map中移除该key
            addRecently(key, value); // 更新最近使用
            return;
        }

        int size = doubleList.getSize();
        if (size == cap) { // 说明需要移除最久未使用的元素了
            removeLeastRecently();
        }
        addRecently(key, value); //添加新的元素进来
    }


    public void makeRecently(int key) { // 将某个key标记为最近使用的元素(map中已存在的)
        Node x = map.get(key);
        doubleList.remove(x); // 先从双链表删除
        doubleList.addLast(x); // 再添加到链表末尾, 因为尾部是最近使用过的元素
    }

    public void addRecently(int key, int value) { // 添加最近使用过的元素
        Node x = new Node(key, value);
        doubleList.addLast(x);
        map.put(key, x);  //更新map
    }

    public void deleteKey(int key) {
        Node x = map.get(key);
        map.remove(key);
        doubleList.remove(x); // 在map中和cache中同时删除
    }

    // 删除最久未使用的元素
    public void removeLeastRecently() {
        // 最久未使用的一定在链表头部
        Node oldNode = doubleList.removeHead();
        int oldKey = oldNode.key;
        map.remove(oldKey);
    }
}



8. 合并K个升序链表

给你一个链表数组,每个链表都已经按升序排列。请你将所有链表合并到一个升序链表中,返回合并后的链表。

示例 1:

输入:lists = [[1,4,5],[1,3,4],[2,6]]
输出:[1,1,2,3,4,4,5,6]
解释:链表数组如下:
[
  1->4->5,
  1->3->4,
  2->6
]
将它们合并到一个有序链表中得到。
1->1->2->3->4->4->5->6

合并两个有序链表,是比较简单的,相信大家都会做。那么如何合并K个有序链表呢? 其实道理是一样的,我们可以借用优先级队列找出最小节点,完整代码如下:

class Solution {


    public ListNode mergeKLists(ListNode[] lists) {

        if(lists.length==0){
            return null;
        }
        //虚拟节点
        ListNode head = new ListNode(0);
        ListNode tail = head;
        //优先队列
        PriorityQueue<ListNode> queue = new PriorityQueue<>(lists.length,(a, b)->(a.val-b.val));

        //将K个链表头节点合并最小堆
        for (ListNode node: lists) {
            if (node != null) {
                queue.add(node);
            }
        }

        while (!queue.isEmpty()) {
            //获取最小节点,放到结果链表中
            ListNode node = queue.poll();
            tail.next = node;
            
            if (node.next != null) {
                queue.add(node.next);
            }
            //指针链表一直往前
            tail = tail.next;
        }
        return head.next;
    }
}

9. 无重复字符的最长子串

给定一个字符串 s ,请你找出其中不含有重复字符的 最长子串 的长度。

示例 1:

输入: s = "abcabcbb"
输出: 3 
解释: 因为无重复字符的最长子串是 "abc",所以其长度为 3。

示例 2:

输入: s = "bbbbb"
输出: 1
解释: 因为无重复字符的最长子串是 "b",所以其长度为 1。

这道题可以使用滑动窗口来实现。滑动窗口就是维护一个窗口,不断滑动,然后更新答案。

滑动窗口的大致逻辑框架,伪代码如下:

int left =0right = 0;
while (right < s.size()){
  //增大窗口
  window.add(s[right]);
  right++;
  
  while (window needs shrink){
    //缩小窗口
    window.remove (s[left]);
    left ++;
  }
}

解法流程如下:

  • 首先呢,就是获取原字符串的长度。
  • 接着维护一个窗口(数组、哈希、队列)
  • 窗口一步一步向右扩展
  • 窗口在向右扩展滑动过程,需要判断左边是否需要缩减
  • 最后比较更新答案

完整代码如下:

int lengthOfLongestSubstring(String s){
     //获取原字符串的长度
     int len = s.length();
     //维护一个哈希集合的窗口
     Set<Character> windows = new HashSet<>();
     int left=0,right =0;
     int res =0;

     while(right<len){
       char c = s.charAt(right);
       //窗口右移
       right++;

       //判断是否左边窗口需要缩减,如果已经包含,那就需要缩减
       while(windows.contains(c)){
          windows.remove(s.charAt(left));
           left++;
       }
       windows.add(c);
       //比较更新答案
       res = Math.max(res,windows.size());
      }
     return res;
}

之前写过一篇滑动窗口解析,大家有兴趣可以看下哈:

leetcode必备算法:聊聊滑动窗口

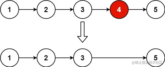
10.删除链表的倒数第 N 个结点

给你一个链表,删除链表的倒数第 n 个结点,并且返回链表的头结点。

示例 :

输入:head = [1,2,3,4,5], n = 2
输出:[1,2,3,5]

这道题可以使用双指针解决。既然我们要找到倒数第n个节点,我们可以使用两个指针first 和 second同时对链表进行遍历,并且first 比second超前 n 个节点。当 first遍历到链表的末尾时,second 就恰好处于倒数第n个节点。

class Solution {
    public ListNode removeNthFromEnd(ListNode head, int n) {
        ListNode dummy = new ListNode(0, head);
        ListNode first = head;
        ListNode second = dummy;
        //first 比second先走n个节点
        for (int i = 0; i < n; ++i) {
            first = first.next;
        }
        //直到走到链表尾部
        while (first != null) {
            first = first.next;
            second = second.next;
        }
        //删除节点
        second.next = second.next.next;
        ListNode ans = dummy.next;
        return ans;
    }
}

参考与感谢

  • leetcode官网
  • labuladong算法小抄