考研数据结构(每日一题)day10

143 阅读1分钟

考研数据结构(每日一题)

题目:(1)使用头插法建立单链表

(2)使用尾插法建立单链表

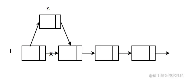
算法图解:

Snipaste_2022-02-28_09-07-16.png

Snipaste_2022-02-28_09-53-13.png

完整代码:

Linklist List_HeadInsert(Listlist &L){
    LNode *s;   //标记需要插入的结点
    int x;           //传入结点中data域的值
    L = (Linklist) malloc (sizeof(LNode));     //创建头结点
    scanf("%d",&x);
    while(x != -1){
        s = (LNode*) malloc (sizeof(LNode));
        s -> data = x;    //赋值
        s -> next = L -> next;  //将新结点插入
        L -> next = s;
    }
    return L;
}
Linklist List_TailInsert(Listlist &L){
    LNode *s,*r = L;
    int x;           //传入结点中data域的值
    L = (Linklist) malloc (sizeof(LNode));     
    scanf("%d",&x);
    while(x != -1){
        s = (LNode*) malloc (sizeof(LNode));
        s -> data = x;    //赋值
        r -> next = s;
        r = s;
    }
    r -> next = null;   //表尾的next置空
    return L;
}