【数据挖掘算法】(二)MSET 算法参差分析

210 阅读4分钟

文章目录

一、滑动窗口残差统计法

记某段时间内,MSET模型的预测残差序列为:

这里写图片描述

采用滑动窗口残差统计方法的原因:\

该方法能够连续实时地检测残差统计特性的变化,算法简单,适合在线实时分析。\

MSET模型采用过程记忆矩阵D中合理选择的有限个历史观测向量代表整个齿轮箱温度特性的正常工作空间。其对整个正常工作空间总体上覆盖能力较好,但对正常工作空间的不同区域,其覆盖能力是有差异的。当MSET模型的输入观测向量位于这些区域时,其预测精度会有所下降,即在残差序列中会出现一些孤立的残差相对较大的点。这些孤立的残差相对较大的点并不是设备故障的征兆。滑动窗口残差统计方法计算滑动窗口内多个残差的统计特性,对上述情况下的孤立较大残差的不利影响具有很好的抑制作用。\

通过合理选择滑动窗口的宽度n ,既能及时迅速地反映残差统计特性的连续变化,又能消除随机因素的影响,提高齿轮箱状态监测的可靠性,降低误报警的几率。

当设备工作正常时,MSET温度模型预测精度很高,预测残差的均值接近0,且标准差较小。

当设备出现故障隐患时,其工作特性会发生改变,使新的观测向量偏离正常工作状态空间。

MSET温度模型预测残差增大,统计特性改变主要表现为以下3种形式:

1) 残差的均值仍接近0,但残差的标准差明显增大,表现为残差的散布范围增大;

2) 残差的均值以较大幅度偏离0,但残差的标准差变化不大,表现为预测残差出现系统偏差,偏零值;

3)以上两种情况的组合。

确定残差均值和标准差的故障阈值,记其分别为EY 和SY。当模型预测的残差滑动窗口统计特性同时超过两个设定阈值时,发出故障隐患报警。残差均值和标准差阈值可以由运行人员根据经验确定。记验证序列的残差绝对值最大值(也就是所有)为EV,标准差的最大值为SV,则设备故障征兆诊断的阈值标准为:

这里写图片描述

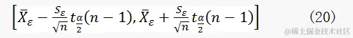
由于非参数模型在对输入进行预测时,存在一定的不确定性。为简化起见,认为残差服从均值和方差均未知的正态分布,在计算滑动窗口中残差序列的均值和标准差时,需要给出置信度为1−α的均值和标准差的置信区间。对于总体均值和方差未知的正态分布残差序列,均值和标准差的置信度为1−α的置信区间分别为:

这里写图片描述

这里写图片描述

式中:n、Xε 和Sε 分别为滑动窗口的宽度、均值和标准差;t_(α/2)和χ_(α/2)2分别为t分布和χ2分布的α/2分位点。当均值或标准差置信区间超过阈值时,发出设备故障征兆报警信息。

二、序贯概率比检验

序贯概率比检验(SPRT)是一种统计决策方法,它能在保证2种检验错误足够小的前提下,仍然可以作出判断,克服了似然比检验只能保证1种检验错误足够小的缺陷。序贯概率比定义如下:

λ=(L(S_n |H_1))/(L(S_n |H_0)) (22)

式中,下标n为样本量;L(S_n |H_i)是当Hi(i=0或1)为真时观测样本序列Sn的似然函数,其中

H0为原假设,设备正常;H1为备择假设,设备故障.若α为给定误报警率,β为给定漏报警率,则以下规则决定接受哪个假设:① λ≥(1-β)/α,接受H1;②λ≤β/(1-α),接受H0;③B<λ< A,不能决定,增加样本数量到n+1,再用规则①、②进行判断。上述规则可以保证SPRT实际的误报警和漏报警(分别用α^ ’和β^ ’表示)被限制在一定范围内:

α^ ’+β^’≤α+β (23)

也就是说,实际的误报警率和漏报警率的和不会超过其规定值。

假定残差遵从高斯分布。在这个假定下,L(S_n |H_i)可以计算出来,序贯概率比被简化为:

这里写图片描述