【Java数据结构】——树的介绍及二叉树详细剖析

180 阅读11分钟

文章目录


一、树的基本概念

树的定义:

树是一种非线性的数据结构,它是由n(n>=0)个有限结点组成一个具有层次关系的集合。把它叫做树是因为它看起来像一棵倒挂的树,也就是说它是根朝上,而叶朝下的。它具有以下的特点:

  1. 有一个特殊的结点,称为根结点,根结点没有前驱结点
  2. 除根结点外,其余结点被分成M(M > 0)个互不相交的集合T1、T2、…、Tm,其中每一个集合 Ti (1 <= i<= m) 又是一棵与树类似的子树。每棵子树的根结点有且只有一个前驱,可以有0个或多个后继
  3. 树是递归定义的。

在这里插入图片描述
**【注意】**树形结构中,子树之间不能有交集,否则就不是树形结构,如下图:
在这里插入图片描述
下面是树的重要概念:
已这棵树为例:
在这里插入图片描述
结点的度:一个结点含有子树的个数称为该结点的度; 如上图:A的度为6

树的度:一棵树中,所有结点度的最大值称为树的度; 如上图:树的度为6

叶子结点或终端结点:度为0的结点称为叶结点; 如上图:B、C、H、I…等节点为叶结点

双亲结点或父结点:若一个结点含有子结点,则这个结点称为其子结点的父结点; 如上图:A是B的父结点

孩子结点或子结点:一个结点含有的子树的根结点称为该结点的子结点; 如上图:B是A的孩子结点

根结点:一棵树中,没有双亲结点的结点;如上图:A
结点的层次:从根开始定义起,根为第1层,根的子结点为第2层,以此类推

树的高度或深度:树中结点的最大层次; 如上图:树的高度为4
树的以下概念只需了解,在看书时只要知道是什么意思即可

非终端结点或分支结点:度不为0的结点; 如上图:D、E、F、G…等节点为分支结点

兄弟结点:具有相同父结点的结点互称为兄弟结点; 如上图:B、C是兄弟结点

堂兄弟结点:双亲在同一层的结点互为堂兄弟;如上图:H、I互为兄弟结点

结点的祖先:从根到该结点所经分支上的所有结点;如上图:A是所有结点的祖先

子孙:以某结点为根的子树中任一结点都称为该结点的子孙。如上图:所有结点都是A的子孙

森林:由m(m>=0)棵互不相交的树组成的集合称为森林

在这里插入图片描述

二、树的存储结构

树结构相对线性表就比较复杂了,要存储表示起来就比较麻烦了,实际中树有很多种表示方式,如:双亲表示法,孩子表示法、孩子双亲表示法、孩子兄弟表示法等等。我们这里就简单的了解其中最常用的孩子兄弟表示法。

class Node {
 int value; // 树中存储的数据 
 Node firstChild; // 第一个孩子引用 
 Node nextBrother; // 下一个兄弟引用 }

三、二叉树

3.1.二叉树的概念

定义:

二叉树(Binary Tree)是n(n≥0】个结点的有限集合,该集合或者为空集(称为空二叉树),或者由一个根结点和两棵互不相交的、分别称为根结点的左子树和右子树的二叉树组成。

简单来说:
一棵二叉树是结点的一个有限集合,该集合:

  1. 或者为空
  2. 或者是由一个根节点加上两棵别称为左子树和右子树的二叉树组成。
    在这里插入图片描述从上图可以看出:
  3. 二叉树不存在度大于2的结点
  4. 二叉树的子树有左右之分,次序不能颠倒,因此二叉树是有序树。

**【注意】**对于任意的二叉树都是由以下几种情况复合而成的:
在这里插入图片描述
二叉树具有五种基本形态:

  1. 空二叉树。
  2. 只有一个根结点。
  3. 根节点只有左子树
  4. 根节点只有右子树
  5. 根节点既有左子树也有右子树

3.2.特殊的二叉树

满二叉树:

一棵二叉树,如果每层的结点数都达到最大值,则这棵二叉树就是满二叉树。也就是说,如果一棵二叉树的层数为K,且结点总数是2^k - 1 ,则它就是满二叉树。
在这里插入图片描述

满二叉树的特点:

  1. 叶子只能出现在最下一层。出现在其他层就不可能达成平衡。
  2. 非叶子结点的度一定是2。
  3. 在同样深度的二叉树中,满二叉树的结点个数最多,叶子数最多。

完全二叉树:

完全二叉树: 完全二叉树是效率很高的数据结构,完全二叉树是由满二叉树而引出来的。对于深度为K的,有n
个结点的二叉树,当且仅当其每一个结点都与深度为K的满二叉树中编号从0至n-1的结点一一对应时称之为完
全二叉树。 要注意的是满二叉树是一种特殊的完全二叉树。
在这里插入图片描述

这里值得注意的一点是,满二叉树一定是完全二叉树,而完全二叉树却不一定是满二叉树。

完全二叉树的特点:

(1)叶子结点只能出现在最下两层。
(2)最下层的叶子一定集中在左部连续位置。
(3)倒数二层,若有叶子结点,一定都在右部连续位置。
(4)如果结点度为1,则该结点只有左孩子,即不存在只有右子树的情况。
(5)同样结点数的二叉树,完全二叉树的深度最小。

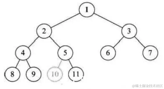
判断某二叉树是否是完全二叉树的办法,那就是看着树的示意图,心中默默给每个结点按照满二叉树的结构逐层顺序编号,如果编号出现空档,就说明不是完全二叉树,否则就是。

如下图,由于10的位置没有,则不是完全二叉树。

在这里插入图片描述

3.3.二叉树的性质

性质一:. 若规定根结点的层数为1,则一棵非空二叉树的第i层上最多有2^i-1 (i>0)个结点

在这里插入图片描述如上图:

第一层是根结点,只有一个,
所以2^1-1=20=1。
第二层有两个,2^2-1 =2 ^1=2。
第三层有四个,2^3 -1=2^2=4。
第四层有八个2^4 -1 =2^3=8。
通过数据归纳法的论证,可以很容易得出在二叉树的第i层上至多有2^i-1个结点(i≥1)的结论。

性质二:若规定只有根结点的二叉树的深度为1,则深度为K的二叉树的最大结点数是2^k - 1 (k>=0)。

注意这里一定要看清楚,是2^k后再减去1,而不是2k-1。
在这里插入图片描述

如上图:
深度为k意思就是有k层的二叉树,我们先来看看简单的。
如果有一层,至多 1=2^0 - 1个结点。
如果有二层,至多1+2=3=2^2-1个结点。
如果有三层,至多1+2+4=7=2^3-1个结点。
如果有四层, 至多1+2+4+8=15=2^4-1个结点。
通过数据归纳法的论证,可以得出,如果有k层,此二叉树至多有2k-1个结点。

性质三:对任何一棵二叉树, 如果其叶结点个数为 n0, 度为2的非叶结点个数为 n2,则有n0=n2+1。

下面给大家推到一下:

1.假设二叉树度为1的节点数为n1,度为0的为n0,度为2的为n2,则这棵二叉树的结点总数n=n0+n1+n2;

2.对于任何一棵树,如果有n个节点,则会产生n-1条边。
n0:度为0的节点,向下只能产生0条边;
n1:度为1的节点,向下只能产生1条边,如果有n1个节点,则产生n1条边;
n2:度为2的节点,向下只能够产生2条边,如果有n2个节点,则产生2*n2条边。
那么我们可以得到:n-1 = n1+2n2;

所以:n0+n1+n2 = n1+2n2+1

得到:n0 = n2+1;

性质四:具有n个结点的完全二叉树的深度k为[log2](n+1)向上取整。

在这里插入图片描述为什么要向上取整?举个例子:
在这里插入图片描述

性质五: 对于具有n个结点的完全二叉树,如果按照从上至下从左至右的顺序对所有节点从0开始编号,则对于序号为i的结点有:
若i>0,双亲序号:(i-1)/2;i=0,i为根结点编号,无双亲结点
若2i+1<n,左孩子序号:2i+1,否则无左孩子
若2i+2<n,右孩子序号:2i+2,否则无右孩子

在这里插入图片描述以上面的树为例子:

对于第一条来说是很显然的,i=1时就是根结点。i>1时,比如结点7,它的双亲就是7/2=3,结点9,它的双亲就是[9/2]=4。

第二条,比如结点6,因为2×6=12超过了结点总数10,所以结点6无左孩子,它是叶子结点。同样,而结点5,因为2×5=10正好是结点总数10,所以它的左孩子是结点10。

第三条,比如结点5,因为2×5+1=11,大于结点总数10,所以它无右孩子。而结点3,因为2×3+1=7小于10,所以它的右孩子是结点7。

3.4.二叉树的存储结构

二叉树的存储结构分为:顺序存储和类似于链表的链式存储。

而顺序存储一般只用用于完全二叉树。

因为顺序存储适用性不强,我们考虑用链式存储结构。二叉树每个结点最多有两个孩子,所以为它设计一个数据域和两个指针域是比较明智的想法,我们把这样的链表叫做二叉链表。
在这里插入图片描述

其中data是数据域,leftchild和rightchild都是指针域,分别存放指向左孩子和右孩子的指针。

// 孩子表示法
class Node { 
int val; // 数据域 
Node leftchild; // 左孩子的引用,常常代表左孩子为根的整棵左子树 
Node rightchild; // 右孩子的引用,常常代表右孩子为根的整棵右子树 }

很多公司的面试题、笔试题考察的二叉树基本上都是上面孩子表示法这种形式。

3.5.二叉树的创建

下面创建二叉树的方法是一个相对比较简单的,严格来说不是正确或者是常用的创建方式。实际上二叉树的创建是一个非常复杂的过程。

class BTNode{
    public char val;
    public BTNode left;//左孩子的引用
    public BTNode right;//右孩子的引用
    public BTNode (char val){
        this.val=val;
    }
}
public class BinaryTree {
    public BTNode root;//二叉树的根节点

    public BTNode createTree(){
        BTNode A = new BTNode('A');
        BTNode B = new BTNode('B');
        BTNode C = new BTNode('C');
        BTNode D = new BTNode('D');
        BTNode E = new BTNode('E');
        BTNode F = new BTNode('F');
        BTNode G = new BTNode('G');
        BTNode H = new BTNode('H');

        A.left = B;
        A.right = C;
        B.left = D;
        B.right = E;
        C.left = F;
        C.right = G;
        E.right = H;
        return A;
    }
}

测试:

public class Test {
    public static void main(String[] args) {
        BinaryTree binaryTree = new BinaryTree();
        BTNode root =  binaryTree.createTree();
        System.out.println("asdasdfadf");
    }
}

调试看结果:
在这里插入图片描述
可以看到,这样我们就创建了一棵二叉树。

再次说明,上述代码并不是创建二叉树的方式。以后有机会我再写一遍博客重点讲解。

3.6.二叉树的遍历

遍历(Traversal)是指沿着某条搜索路线,依次对树中每个结
点均做一次且仅做一次访问。访问结点所做的操作依赖于具体的应用问题(比如:打印节点内容、节点内容加1)。 遍历是二叉树上最重要的操作之一,是二叉树上进行其它运算之基础。

二叉树的遍历方式可以很多,如果我们限制了从左到右的习惯方式,那么主要就分为四种:

  1. 前序遍历
  2. 中序遍历
  3. 后序遍历
  4. 层序遍历

下面,我们来讲解一下各种遍历。

3.6.1.前序遍历

若二叉树为空,则空操作返回,否则先访问根结点,然后前序遍历左子树,再前序遍历右子树。(根左右)如下图所示,遍历的顺为:ABDGHCEIF。

在这里插入图片描述

//前序遍历
void preOrder(BTNode root){
        if(root == null){
            return;
        }
        System.out.print(root.val+" ");
        preOrder(root.left);
        preOrder(root.right);
    }

3.6.2.中序遍历

若树为空,则空操作返回,否则从根结点开始(注意并不是先访问根结点),中序遍历根结点的左子树,然后是访问根结点,最后中序遍历右子树(左根右)。如下图所示,遍历的顺序为:GDHBAEICF。
在这里插入图片描述

//中序遍历
    void inOrder(BTNode root){
        if(root == null){
            return;
        }
        inOrder(root.left);
        System.out.print(root.val+" ");
        inOrder(root.right);
    }

3.6.3.后序遍历

若树为空,则空操作返回,否则从左到右先叶子后结点的方式遍历访问左右子树,最后是访问根结点(左右根)。如下图所示,遍历的顺序为:GHDBIEFCA。

在这里插入图片描述

//后序遍历
    void postOrder(BTNode root){
        if(root == null){
            return;
        }
        postOrder(root.left);
        postOrder(root.right);
        System.out.print(root.val+" ");
    }

3.6.4.层序遍历

若树为空,则空操作返回,否则从树的第一层,也就是根结点开始访问,从上而下逐层遍历,在同一层中,按从左到右的顺序对结点逐个访问。如下图所示,遍历的顺序为: ABCDEFGHI。

在这里插入图片描述

3.7.二叉树的基本操作

 // 求整棵树root的节点个数
    int size(BTNode root){
        if(root == null){
            return 0;
        }
        return size(root.left) + size(root.right) + 1;
    }


    // 获取叶子节点的个数
    int getLeafNodeCount(BTNode root){
        if(root == null){
            return 0;
        }
        if(root.left == null && root.right == null){
            return 1;
        }else{
            return getLeafNodeCount(root.left) + getLeafNodeCount(root.right);
        }
    }
    /**
     * 获取第K层节点的个数
     * 子问题思路:
     *
     */
    int getKLevelNodeCount(BTNode root,int k) {
        if(root == null || k <= 0) {
            return 0;
        }
        if(k == 1) {
            return 1;
        }
        return getKLevelNodeCount(root.left,k-1) + getKLevelNodeCount(root.right,k-1);
    }

    /**
     * 获取二叉树的高度
     * 时间复杂度:O(n)
     * 空间复杂度:O()
     */
    int getHeight(BTNode root) {
        if(root == null) return 0;
        int leftHeight = getHeight(root.left);
        int rightHeight = getHeight(root.right);
        return leftHeight > rightHeight ? leftHeight+1 : rightHeight+1;
    }

    int getHeight2(BTNode root) {
        if(root == null) return 0;
        return getHeight2(root.left) > getHeight2(root.right) ?
                getHeight2(root.left)+1 : getHeight2(root.right)+1;
    }

    /**
     * 检测值为value的元素是否存在
     */
    BTNode find(BTNode root, char val) {
        if(root == null) return null;
        if(root.val == val) return root;

        BTNode ret = find(root.left,val);
        if(ret != null) {
            return ret;
        }
        ret = find(root.right,val);
        if(ret != null) {
            return ret;
        }
        return null;
    }

    /**
     * 是不是完全二叉树
     * @param root
     * @return
     */
    boolean isCompleteTree(BTNode root) {
        if(root == null) return true;
        Queue<BTNode> queue = new LinkedList<>( );
        queue.offer(root);
        while (!queue.isEmpty()) {
            BTNode cur = queue.poll();
            if(cur != null) {
                queue.offer(cur.left);
                queue.offer(cur.right);
            }else {
                break;
            }
        }

        while (!queue.isEmpty()) {
            BTNode top = queue.peek();
            if(top != null) {
                return false;
            }
            queue.poll();
        }
        return true;
    }

总结

历时一天完成,其中有疏漏之处,还请海涵。希望各位看客老爷能一键三连,支持一下,感谢!