常系数非齐次线性微分方程通解的求法

763 阅读4分钟

我不介绍概念,主要教你怎么写题

第一步:如何辨认是这种题型: ​​​e

 

发现了吗?它的左边全是y的形式,右边主要有exp(e的x次方),当然没有的话就是e的0次方

我们先来介绍第一种形式:就是不含sinx和cosx的解法:

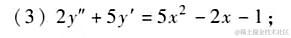
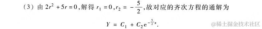
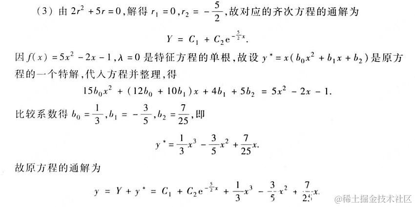
(1)我们的第一步是求出e上的指数系数是多少,比如(1)是   2

(2)然后将(1)的左边方程写为特征方程(不懂的直接记结论)

y的几阶导就是r的几次方,(最高阶导数对应这个方程有多少个解)

 

(3)此时请注意看你的特征方程的解是否对应刚开始的e的次数

没有一个对应上即乘上x的0次方

有一个对应即乘上x的1次方

有两个对应即乘上x的2次方(依次类推)

注意一个易错的:以一元二次方程举例:deta为0时,它也是有2个根的,只不过是这2个根相同

 

以上为B部分(深绿色)

这种方程的解分为2部分=齐次方程的通解+非齐次方程的特解

y=Y+y*

上面我们求的是齐次方程的特解:用Y表示(比较简单)

(4)最容易混淆的是如何去设:非齐次方程的特解

有一个公式y*=A部分*B部分*C部分

A部分为e的x次方(就是原来右边的e的x次方)

B部分自己看上面绿色字体

C部分为观察右边式子的形式()

只有一个2的,对应的是x的0次方

那我们就设C部分为a(一个常数)

将这三部分组合起来就可以得到设的特解的形式了:

 将y*求一阶导,二阶导,分别将y*,y*的一阶导,y*的二阶导带入方程,利用对应关系,列出对应方程,即可求解得出具体a的值

 最后将齐次方程通解Y+非齐次方程特解y*相加即可得到真正完美的解y

下面我们再来看e的次方系数对应特征方程解的情况:

 

                                                     (1)求出右边式子的e的次方为  0

(2)将左边式子写成特征方程

 

(3)求对应齐次方程的通解(主要是背公式)

(4)设对应非齐次方程的特解(3部分)

y*=A*B*C;(A为e的0次方,(注意r1和e的0次方有一根对应)所以乘x的1次方,对应式子形式为(ax的二次方)+bx+c)

 

你发现了吗:最容易错的是设y*的形式,再套进去计算,其实并没有那么难^-^

第二种形式:有cosx和sinx其中之一的形式:

 

主要是(1)和(4)有差别

(1)求出e的x所对应的次数(如你所见是1)+求出sinx或cosx所对应的w(如你所见是2)

写出他们的形式为1+2i(中间这个一定是“+”)

这个为B部分:与第一种形式相同,

没有根对应乘x的0次方

有1个根对应乘x的1次方

有2个根对应乘x的2次方(依次类推)

(4)设的y*形式有点点不同:y*=A部分*B部分*C部分

A部分依然为e的x次方

C部分与第一种类型类似:(式子的形式*coswx+式子的形式*sinwx)

以(5)举例来说,式子的形式就是常数1,那么我们设式子形式是也要把它设为常数a,b

看到了吗,与第一种做法几乎没区别,难怪老师说这个是最简单的^_^(因为有且只有一种方法(目前阶段))

第三类型:叠加形式(就是前两个的组合形式)

主要区别:在设特解的时候需要设两个特解y*1和y*2

将他们俩相加得到真正的特解y*  即y*=y*1+y*2

接下来就没有什么新意了

看解析把大火

 好了,我打字截图也累了,有什么不懂欢迎和我进行讨论^-^