Java实现LeetCode 题号:931 - 940

217 阅读3分钟

「这是我参与2022首次更文挑战的第39天,活动详情查看:2022首次更文挑战」。

LeetCode习题集 有些题可能直接略过了,整理一下之前刷leetcode

931. 下降路径最小和

给你一个 n x n 的 方形 整数数组 matrix ,请你找出并返回通过 matrix 的下降路径 **的 ****最小和 。

下降路径 可以从第一行中的任何元素开始,并从每一行中选择一个元素。在下一行选择的元素和当前行所选元素最多相隔一列(即位于正下方或者沿对角线向左或者向右的第一个元素)。具体来说,位置 (row, col) 的下一个元素应当是 (row + 1, col - 1)(row + 1, col) 或者 (row + 1, col + 1) 。

 

示例 1:

输入: matrix = [[2,1,3],[6,5,4],[7,8,9]]
输出: 13
解释: 如图所示,为和最小的两条下降路径

示例 2:

输入: matrix = [[-19,57],[-40,-5]]
输出: -59
解释: 如图所示,为和最小的下降路径

 

提示:

  • n == matrix.length == matrix[i].length
  • 1 <= n <= 100
  • -100 <= matrix[i][j] <= 100
PS:
    我们从最后一行循环到第一行
        然后每一列都找斜着的下一行的最小值,然后当前值加上最小值(第一列和最后一列除外)
        然后循环第一行,找到最小的那个
class Solution {
    public int minFallingPathSum(int[][] num) {
        int n = num.length;
        for (int i = n - 2; i >= 0; i--) {
            for (int j = 0; j < n; j++) {
                int min = num[i + 1][j];
                if (j > 0) {
                    min = Math.min(min, num[i + 1][j - 1]);
                }
                if (j < n - 1) {
                    min = Math.min(min, num[i + 1][j + 1]);
                }
                num[i][j] += min;
            }
        }
        int  min = num[0][0];
        for (int i : num[0]) {
            min = Math.min(i, min);
        }
        return min;
    }
}

932. 漂亮数组

对于某些固定的 N,如果数组 A 是整数 1, 2, ..., N 组成的排列,使得:

对于每个 i < j,都不存在 k 满足 i < k < j 使得 A[k] * 2 = A[i] + A[j]

那么数组 A 是漂亮数组。

 

给定 N,返回任意漂亮数组 A(保证存在一个)。

 

示例 1:

输入: 4
输出: [2,1,4,3]

示例 2:

输入: 5
输出: [3,1,2,5,4]

 

提示:

  • 1 <= N <= 1000
class Solution {
    /**
    如果漂亮数组恒不成立
    等式左面肯定是偶数,右面如果恒等于奇数,这个数组就恒不成立
    a[i]+a[j]=奇数
    a[i] = 奇数,a[j]=偶数(反过来也可)
    
    map用来优化的,防止重复计算子数组问题,降低时间复杂度
     */
    Map<Integer, int[]> memo;
    public int[] beautifulArray(int N) {
        memo = new HashMap();
        return f(N);
    }

    public int[] f(int N) {
        if (memo.containsKey(N))
            return memo.get(N);

        int[] ans = new int[N];
        if (N == 1) {
            ans[0] = 1;
        } else {
            int t = 0;
            for (int x: f((N+1)/2))  // odds
                ans[t++] = 2*x - 1;
            for (int x: f(N/2))  // evens
                ans[t++] = 2*x;
        }
        memo.put(N, ans);
        return ans;
    }
}

933. 最近的请求次数

写一个 RecentCounter 类来计算特定时间范围内最近的请求。

请你实现 RecentCounter 类:

  • RecentCounter() 初始化计数器,请求数为 0 。
  • int ping(int t) 在时间 t 添加一个新请求,其中 t 表示以毫秒为单位的某个时间,并返回过去 3000 毫秒内发生的所有请求数(包括新请求)。确切地说,返回在 [t-3000, t] 内发生的请求数。

保证 每次对 ping 的调用都使用比之前更大的 t 值。

 

示例 1:

输入:
["RecentCounter", "ping", "ping", "ping", "ping"]
[[], [1], [100], [3001], [3002]]
输出:
[null, 1, 2, 3, 3]

解释:
RecentCounter recentCounter = new RecentCounter();
recentCounter.ping(1);     // requests = [1],范围是 [-2999,1],返回 1
recentCounter.ping(100);   // requests = [1, 100],范围是 [-2900,100],返回 2
recentCounter.ping(3001);  // requests = [1, 100, 3001],范围是 [1,3001],返回 3
recentCounter.ping(3002);  // requests = [1, 100, 3001, 3002],范围是 [2,3002],返回 3

 

提示:

  • 1 <= t <= 109
  • 保证每次对 ping 调用所使用的 t 值都 严格递增
  • 至多调用 ping 方法 104 次
PS:
    因为这里保证了 t 的值会越来越大,我们可以用类似滑动窗口的
    把 t 前面3000ms的都删除,然后返回队列的数组
class RecentCounter {
    Queue<Integer> q;
    public RecentCounter() {
        q = new LinkedList();
    }

    public int ping(int t) {
        q.add(t);
        while (q.peek() < t - 3000)
            q.poll();
        return q.size();
    }
}

934. 最短的桥

在给定的二维二进制数组 A 中,存在两座岛。(岛是由四面相连的 1 形成的一个最大组。)

现在,我们可以将 0 变为 1,以使两座岛连接起来,变成一座岛。

返回必须翻转的 0 的最小数目。(可以保证答案至少是 1 。)

 

示例 1:

输入: A = [[0,1],[1,0]]
输出: 1

示例 2:

输入: A = [[0,1,0],[0,0,0],[0,0,1]]
输出: 2

示例 3:

输入: A = [[1,1,1,1,1],[1,0,0,0,1],[1,0,1,0,1],[1,0,0,0,1],[1,1,1,1,1]]
输出: 1

 

提示:

  • 2 <= A.length == A[0].length <= 100
  • A[i][j] == 0 或 A[i][j] == 1
class Solution {
    public int shortestBridge(int[][] A) {
        int R = A.length, C = A[0].length;
        int[][] colors = getComponents(A);

        Queue<Node> queue = new LinkedList();
        Set<Integer> target = new HashSet();
        //如果是第一个岛的话,就把当前的位置添加到队列
        //如果是另一个岛的话,就添加到target
        
        for (int r = 0; r < R; ++r)
            for (int c = 0; c < C; ++c) {
                if (colors[r][c] == 1) {
                    queue.add(new Node(r, c, 0));
                } else if (colors[r][c] == 2) {
                    target.add(r * C + c);
                }
            }
        //用第一个岛地点进行BFS,如果走到的地址是第二个岛里面的,我们就直接返回就可以了
        //每次循环都用当前岛的步数 + 1,走向他邻居的位置
        while (!queue.isEmpty()) {
            Node node = queue.poll();
            if (target.contains(node.r * C + node.c))
                return node.depth - 1;
            for (int nei: neighbors(A, node.r, node.c)) {
                int nr = nei / C, nc = nei % C;
                if (colors[nr][nc] != 1) {
                    queue.add(new Node(nr, nc, node.depth + 1));
                    colors[nr][nc] = 1;
                }
            }
        }

        throw null;
    }

    public int[][] getComponents(int[][] A) {
        int R = A.length, C = A[0].length;
        int[][] colors = new int[R][C];
        int t = 0;
        //用来色彩标记,如果当前位置没有被标记,并且当前位置是岛屿
        //然后把当前位置放到栈,然后记录一下当前位置被访问了
        //把当前位置进行 BFS ,然后找到他的所有邻居,也就是neighbors返回的不越界的list
        //如果新位置也是岛屿,并且未访问,那么就添加进来并且设置色彩标记为 1
        //如果下次遇到一个岛屿的话,就肯定是另一个岛屿,然后色彩设置成 2
        for (int r0 = 0; r0 < R; ++r0)
            for (int c0 = 0; c0 < C; ++c0)
                if (colors[r0][c0] == 0 && A[r0][c0] == 1) {
                    // Start dfs
                    Stack<Integer> stack = new Stack();
                    stack.push(r0 * C + c0);
                    colors[r0][c0] = ++t;

                    while (!stack.isEmpty()) {
                        int node = stack.pop();
                        int r = node / C, c = node % C;
                        for (int nei: neighbors(A, r, c)) {
                            int nr = nei / C, nc = nei % C;
                            if (A[nr][nc] == 1 && colors[nr][nc] == 0) {
                                colors[nr][nc] = t;
                                stack.push(nr * C + nc);
                            }
                        }
                    }
                }

        return colors;
    }

    public List<Integer> neighbors(int[][] A, int r, int c) {
        int R = A.length, C = A[0].length;
        List<Integer> ans = new ArrayList();
        if (0 <= r-1) ans.add((r-1) * R + c);
        if (0 <= c-1) ans.add(r * R + (c-1));
        if (r+1 < R) ans.add((r+1) * R + c);
        if (c+1 < C) ans.add(r * R + (c+1));
        return ans;
    }
}

class Node {
    int r, c, depth;
    Node(int r, int c, int d) {
        this.r = r;
        this.c = c;
        depth = d;
    }
}

935. 骑士拨号器

象棋骑士有一个独特的移动方式,它可以垂直移动两个方格,水平移动一个方格,或者水平移动两个方格,垂直移动一个方格(两者都形成一个 L 的形状)。

象棋骑士可能的移动方式如下图所示:

我们有一个象棋骑士和一个电话垫,如下所示,骑士只能站在一个数字单元格上(即蓝色单元格)。

给定一个整数 n,返回我们可以拨多少个长度为 n 的不同电话号码。

你可以将骑士放置在任何数字单元格上,然后你应该执行 n - 1 次移动来获得长度为 n 的号码。所有的跳跃应该是有效的骑士跳跃。

因为答案可能很大,所以输出答案模 109 + 7.

 

示例 1:

输入: n = 1
输出: 10
解释: 我们需要拨一个长度为1的数字,所以把骑士放在10个单元格中的任何一个数字单元格上都能满足条件。

示例 2:

输入: n = 2
输出: 20
解释: 我们可以拨打的所有有效号码为[04, 06, 16, 18, 27, 29, 34, 38, 40, 43, 49, 60, 61, 67, 72, 76, 81, 83, 92, 94]

示例 3:

输入: n = 3131
输出: 136006598
解释: 注意取模

 

提示:

  • 1 <= n <= 5000
PS:
    我们先手动模拟每个位置,之前位置得可能,
    然后dp[次数][位置]
    我们设置每个位置初始得时候都是 1
    然后循环次数和所有位置
    当前位置当前次数是所有上一个次数,可能位置的和
    防止数据过大,记得取余
class Solution {
        private int[][] path = {{4, 6}, {6, 8}, {7, 9}, {4, 8}, {3, 9, 0}, {}, {1, 7, 0}, {2, 6}, {1, 3}, {4, 2}};
    private static final int MOD = 1000000007;

    public int knightDialer(int n) {
        int[][] dp = new int[n][10];
        for (int i = 0; i < 10; i++) {
            dp[0][i] = 1;
        }

        for (int time = 1; time < n; time++) {
            for (int place = 0; place < 10; place++) {
                for (int preplace : path[place]) {
                    dp[time][place] = (dp[time][place] + dp[time - 1][preplace]) % MOD;
                }
            }
        }
        int res = 0;
        for (int i = 0; i < 10; i++) {
            res = (res + dp[n - 1][i]) % MOD;
        }
        return res;
    }
}

937. 重新排列日志文件

给你一个日志数组 logs。每条日志都是以空格分隔的字串,其第一个字为字母与数字混合的 **标识符

有两种不同类型的日志:

  • 字母日志:除标识符之外,所有字均由小写字母组成
  • 数字日志:除标识符之外,所有字均由数字组成

请按下述规则将日志重新排序:

  • 所有 字母日志 都排在 数字日志 之前。
  • 字母日志 在内容不同时,忽略标识符后,按内容字母顺序排序;在内容相同时,按标识符排序。
  • 数字日志 应该保留原来的相对顺序。

返回日志的最终顺序。

 

示例 1:

输入: logs = ["dig1 8 1 5 1","let1 art can","dig2 3 6","let2 own kit dig","let3 art zero"]
输出: ["let1 art can","let3 art zero","let2 own kit dig","dig1 8 1 5 1","dig2 3 6"]
解释:
字母日志的内容都不同,所以顺序为 "art can", "art zero", "own kit dig" 。
数字日志保留原来的相对顺序 "dig1 8 1 5 1", "dig2 3 6"

示例 2:

输入: logs = ["a1 9 2 3 1","g1 act car","zo4 4 7","ab1 off key dog","a8 act zoo"]
输出: ["g1 act car","a8 act zoo","ab1 off key dog","a1 9 2 3 1","zo4 4 7"]

 

提示:

  • 1 <= logs.length <= 100
  • 3 <= logs[i].length <= 100
  • logs[i] 中,字与字之间都用 单个 空格分隔
  • 题目数据保证 logs[i] 都有一个标识符,并且在标识符之后至少存在一个字
PS:
    按照自定义排序方法进行排序
    先分割,看是数字还是字母
    如果都是字母就比较字典序,如果字典序相等,就按照标识符进行比较
    如果有一个不是字母,就把字母放到前面
class Solution {
    public String[] reorderLogFiles(String[] logs) {
        Arrays.sort(logs, (log1, log2) -> {
            String[] split1 = log1.split(" ", 2);
            String[] split2 = log2.split(" ", 2);
            boolean isDigit1 = Character.isDigit(split1[1].charAt(0));
            boolean isDigit2 = Character.isDigit(split2[1].charAt(0));
            if (!isDigit1 && !isDigit2) {
                int cmp = split1[1].compareTo(split2[1]);
                if (cmp != 0) return cmp;
                return split1[0].compareTo(split2[0]);
            }
            return isDigit1 ? (isDigit2 ? 0 : 1) : -1;
        });
        return logs;
    }
}

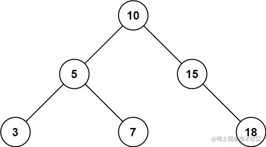
938. 二叉搜索树的范围和

给定二叉搜索树的根结点 root,返回值位于范围  [low, high]  之间的所有结点的值的和。

 

示例 1:

输入: root = [10,5,15,3,7,null,18], low = 7, high = 15
输出: 32

示例 2:

输入: root = [10,5,15,3,7,13,18,1,null,6], low = 6, high = 10
输出: 23

 

提示:

  • 树中节点数目在范围 [1, 2 * 104] 内
  • 1 <= Node.val <= 105
  • 1 <= low <= high <= 105
  • 所有 Node.val 互不相同
PS:
    因为是二叉搜索树
        我们找指定范围的时候,如果符合范围,就把当前值加起来
        左子结点不为空,就继续递归调用左子节点,
        右子结点不为空,就递归右子结点
 
class Solution {
    int res = 0, l, h;
    public int rangeSumBST(TreeNode root, int low, int high) {
        this.l = low;
        this.h = high;
        dfs(root);
        return res;
    }
    public void dfs(TreeNode node) {
        if (node == null) return;
        if (node.val >= l && node.val <= h) {
            res += node.val;
        }
        if (node.left != null) {
            dfs(node.left);
        } 
        if (node.right != null) {
            dfs(node.right);
        }
    }
}

939. 最小面积矩形

给定在 xy 平面上的一组点,确定由这些点组成的矩形的最小面积,其中矩形的边平行于 x 轴和 y 轴。

如果没有任何矩形,就返回 0。

 

示例 1:

输入: [[1,1],[1,3],[3,1],[3,3],[2,2]]
输出: 4

示例 2:

输入: [[1,1],[1,3],[3,1],[3,3],[4,1],[4,3]]
输出: 2

 

提示:

  1. 1 <= points.length <= 500
  2. 0 <= points[i][0] <= 40000
  3. 0 <= points[i][1] <= 40000
  4. 所有的点都是不同的。
PS:
    按照横坐标为键,纵坐标为值添加到map的值
    循环每一行,然后在给纵坐标排序,循环纵坐标
    两层循环,循环每两个点,当作矩形的一条边,然后记录一下这两个纵坐标
    把当前纵坐标进行特殊记录,和横坐标放到map里面
    如果里面有当前纵坐标,就证明有能凑成矩形的点,就求面积
class Solution {
    public int minAreaRect(int[][] points) {
        Map<Integer, List<Integer>> rows = new TreeMap();
        for (int[] point: points) {
            int x = point[0], y = point[1];
            rows.computeIfAbsent(x, z-> new ArrayList()).add(y);
        }

        int ans = Integer.MAX_VALUE;
        Map<Integer, Integer> lastx = new HashMap();
        for (int x: rows.keySet()) {
            List<Integer> row = rows.get(x);
            Collections.sort(row);
            for (int i = 0; i < row.size(); ++i)
                for (int j = i+1; j < row.size(); ++j) {
                    int y1 = row.get(i), y2 = row.get(j);
                    int code = 40001 * y1 + y2;
                    if (lastx.containsKey(code))
                        ans = Math.min(ans, (x - lastx.get(code)) * (y2-y1));
                    lastx.put(code, x);
                }
        }

        return ans < Integer.MAX_VALUE ? ans : 0;
    }
}