《剑指 Offer (第 2 版)》栈部分 JavaScript 题解

110 阅读3分钟

「这是我参与2022首次更文挑战的第14天,活动详情查看:2022首次更文挑战

《剑指 Offer (第 2 版)》栈部分 JavaScript 题解

《剑指 Offer(第 2 版)》通行全球的程序员经典面试秘籍。剖析典型的编程面试题,系统整理基础知识、代码质量、解题思路、优化效率和综合能力这 5 个面试要点。

最近,把部分的题刷完了。本文来分享下这些题的解法

06. 从尾到头打印链表

输入一个链表的头节点,从尾到头反过来返回每个节点的值(用数组返回)。

示例 1:

输入:head = [1,3,2]
输出:[2,3,1]

限制:

0 <= 链表长度 <= 10000

题目地址:leetcode-cn.com/problems/co…

运用栈的解题思路

遍历链表,遍历的顺序是从头到尾,可输出的顺序却是从尾到头;也就是说第一个遍历到的节点最后一个输出,而最后一个遍历到的节点第一个输出。这个就是典型的后进先出,我们可以用栈来实现这种顺序,每经过一个节点的时候,把该节点放到一个栈中,当遍历完整个链表后,再从栈顶开始依次输出节点的值

/**
 * @param {ListNode} head
 * @return {number[]}
 */
var reversePrint = function(head) {
  let nodes = [];
  while (head != null) {
    nodes.push(head.val);
    head = head.next;
  }
  // 可以不用下面这一整段,直接  return nodes.reverse();
  let result = [];
  let temp = nodes.pop();
  while (temp != null) {
    result.push(temp);
    temp = nodes.pop();
  }
  return result;
};

09. 用两个栈实现队列

用两个栈实现一个队列。队列的声明如下,请实现它的两个函数 appendTaildeleteHead ,分别完成在队列尾部插入整数和在队列头部删除整数的功能。(若队列中没有元素,deleteHead 操作返回 -1 )

示例 1:

输入:
["CQueue","appendTail","deleteHead","deleteHead"]
[[],[3],[],[]]
输出:[null,null,3,-1]

示例 2:

输入:
["CQueue","deleteHead","appendTail","appendTail","deleteHead","deleteHead"]
[[],[],[5],[2],[],[]]
输出:[null,-1,null,null,5,2]

提示:

  • 1 <= values <= 10000
  • 最多会对 appendTail、deleteHead 进行 10000 次调用

题目地址:leetcode-cn.com/problems/yo…

解题思路

首先我们知道,队列是先入先出,栈是后入先出,所以知道了这两个东西的特性,我们很容易就能根据题意使用两个栈来模拟队列。

首先,两个栈分工不同,一个为入队栈,一个为出队栈,各自负责入队和出队。

入队操作,直接压入入队栈即可,出队操作需要优先检查出队栈是否有数据,若无,需要从入队栈倒入后再操作。

var CQueue = function() {
    this.enterStack = [];
    this.leaveStack = [];
};

/** 
 * @param {number} value
 * @return {void}
 */
CQueue.prototype.appendTail = function(value) {
    this.enterStack.push(value);
};

/**
 * @return {number}
 */
CQueue.prototype.deleteHead = function() {
    if (this.leaveStack.length) {
        return this.leaveStack.pop();
    } else {
        while(this.enterStack.length) {
            this.leaveStack.push(this.enterStack.pop());
        }
        return this.leaveStack.length ? this.leaveStack.pop() : -1;
    }
};

/**
 * Your CQueue object will be instantiated and called as such:
 * var obj = new CQueue()
 * obj.appendTail(value)
 * var param_2 = obj.deleteHead()
 */

30. 包含min函数的栈

定义栈的数据结构,请在该类型中实现一个能够得到栈的最小元素的 min 函数在该栈中,调用 min、push 及 pop 的时间复杂度都是 O(1)。

示例:

MinStack minStack = new MinStack();
minStack.push(-2);
minStack.push(0);
minStack.push(-3);
minStack.min();   --> 返回 -3.
minStack.pop();
minStack.top();      --> 返回 0.
minStack.min();   --> 返回 -2.

提示:

  • 各函数的调用总次数不超过 20000 次

题目地址:leetcode-cn.com/problems/ba…

解题思路 根据题意,我们需要在常量级的时间内找到最小值!

这说明,我们绝不能在需要最小值的时候,再做排序,查找等操作来获取!

所以,我们可以创建两个栈,一个栈是主栈 stack,另一个是辅助栈 minStack,用于存放对应主栈不同时期的最小值。

/**
 * initialize your data structure here.
 */
var MinStack = function() {
    this.stack = [];
    this.minStack = [Infinity];
};

/** 
 * @param {number} x
 * @return {void}
 */
MinStack.prototype.push = function(x) {
    this.stack.push(x);
    this.minStack.push(Math.min(this.minStack[this.minStack.length - 1], x));
};

/**
 * @return {void}
 */
MinStack.prototype.pop = function() {
    this.stack.pop();
    this.minStack.pop();
};

/**
 * @return {number}
 */
MinStack.prototype.top = function() {
    return this.stack[this.stack.length - 1];
};

/**
 * @return {number}
 */
MinStack.prototype.min = function() {
    return this.minStack[this.minStack.length - 1];
};

/**
 * Your MinStack object will be instantiated and called as such:
 * var obj = new MinStack()
 * obj.push(x)
 * obj.pop()
 * var param_3 = obj.top()
 * var param_4 = obj.min()
 */

31. 栈的压入、弹出序列

输入两个整数序列,第一个序列表示栈的压入顺序,请判断第二个序列是否为该栈的弹出顺序。假设压入栈的所有数字均不相等。例如,序列 {1,2,3,4,5} 是某栈的压栈序列,序列 {4,5,3,2,1} 是该压栈序列对应的一个弹出序列,但 {4,3,5,1,2} 就不可能是该压栈序列的弹出序列。

示例 1:

输入:pushed = [1,2,3,4,5], popped = [4,5,3,2,1]
输出:true
解释:我们可以按以下顺序执行:
push(1), push(2), push(3), push(4), pop() -> 4,
push(5), pop() -> 5, pop() -> 3, pop() -> 2, pop() -> 1

示例 2:

输入:pushed = [1,2,3,4,5], popped = [4,3,5,1,2]
输出:false
解释:1 不能在 2 之前弹出。

提示:

  • 0 <= pushed.length == popped.length <= 1000
  • 0 <= pushed[i], popped[i] < 1000
  • pushedpopped 的排列。

题目地址:leetcode-cn.com/problems/zh…

解题思路

  1. 按照入栈序列的顺序压栈
  2. 每次压栈之后,循环判断 “栈顶元素 = 弹出序列的当前元素” 是否成立,将符合弹出序列顺序的栈顶元素全部弹出
  3. 最后如果栈为空则满足条件,否则不满足
/**
 * @param {number[]} pushed
 * @param {number[]} popped
 * @return {boolean}
 */
var validateStackSequences = function(pushed, popped) {
    let index = 0;
    const stack = [];
    for(const value of pushed) {
        stack.push(value);
        while(stack.length && stack[stack.length - 1] === popped[index]) {
            stack.pop();
            index ++;
        }
    }
    return stack.length === 0;
};

33. 二叉搜索树的后序遍历序列

输入一个整数数组,判断该数组是不是某二叉搜索树的后序遍历结果。如果是则返回 true,否则返回 false。假设输入的数组的任意两个数字都互不相同。

参考以下这颗二叉搜索树:

     5
    / \
   2   6
  / \
 1   3

示例 1:

输入: [1,6,3,2,5]
输出: false

示例 2:

输入: [1,3,2,6,5]
输出: true

提示:

  • 数组长度 <= 1000

题目地址:leetcode-cn.com/problems/er…

解题思路

  • 二叉搜索树一个特性就是:左子树比根节点小,右子树比根节点大
  • 只要找到左右子树的分界点,然后递归的去判定就好了
  • 中途有任何不满足的就直接返回falseok
/**
 * @param {number[]} postorder
 * @return {boolean}
 */
var verifyPostorder = function(postorder) {
    function verify(start, end) {
        if (start > end) return true;
        let mid1 = start;
        while(postorder[mid1] < postorder[end]) {
            mid1 ++;
        }
        let mid2 = end - 1;
        while(postorder[mid2] > postorder[end]) {
            mid2 --;
        }
        return  mid1 - 1 === mid2 && verify(start, mid1 - 1) && verify(mid1, end - 1);
    }
    return verify(0, postorder.length - 1);
};

36. 二叉搜索树与双向链表

输入一棵二叉搜索树,将该二叉搜索树转换成一个排序的循环双向链表。要求不能创建任何新的节点,只能调整树中节点指针的指向。

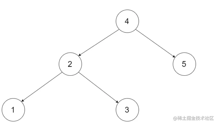
为了让您更好地理解问题,以下面的二叉搜索树为例:

image-20220225152820584

我们希望将这个二叉搜索树转化为双向循环链表。链表中的每个节点都有一个前驱和后继指针。对于双向循环链表,第一个节点的前驱是最后一个节点,最后一个节点的后继是第一个节点。

下图展示了上面的二叉搜索树转化成的链表。“head” 表示指向链表中有最小元素的节点。

image-20220225152834621

特别地,我们希望可以就地完成转换操作。当转化完成以后,树中节点的左指针需要指向前驱,树中节点的右指针需要指向后继。还需要返回链表中的第一个节点的指针。

题目地址:leetcode-cn.com/problems/er…

解题思路

二叉搜索树的中序遍历便是升序的,自然而然的,我们便先中序遍历将节点保存下来,然后将他们相连成循环双向链表。

/**
 * // Definition for a Node.
 * function Node(val,left,right) {
 *    this.val = val;
 *    this.left = left;
 *    this.right = right;
 * };
 */
/**
 * @param {Node} root
 * @return {Node}
 */
var treeToDoublyList = function(root) {
    if (root === null) return null; 
    const stk = [], nodeList = [];
    let node = root;
    while(stk.length || node) {
        while(node) {
            stk.push(node);
            node = node.left;
        }
        node = stk.pop();
        nodeList.push(node);
        node = node.right;
    }
    nodeList.push(nodeList[0]);
    for(let i = 1; i < nodeList.length - 1; i++) {
        nodeList[i].right = nodeList[i + 1];
        nodeList[i].left = nodeList[i - 1];
    }

    nodeList[0].right = nodeList[1];
    nodeList[0].left = nodeList[nodeList.length - 2];
    return nodeList[0];

};