反转链表

155 阅读2分钟

「这是我参与2022首次更文挑战的第36天,活动详情查看:2022首次更文挑战

前言

笔者除了大学时期选修过《算法设计与分析》和《数据结构》还是浑浑噩噩度过的(当时觉得和编程没多大关系),其他时间对算法接触也比较少,但是随着开发时间变长对一些底层代码/处理机制有所接触越发觉得算法的重要性,所以决定开始系统的学习(主要是刷力扣上的题目)和整理,也希望还没开始学习的人尽早开始。

系列文章收录《算法》专栏中。

力扣题目链接

问题描述

给定单链表的头节点 head ,请反转链表,并返回反转后的链表的头节点。

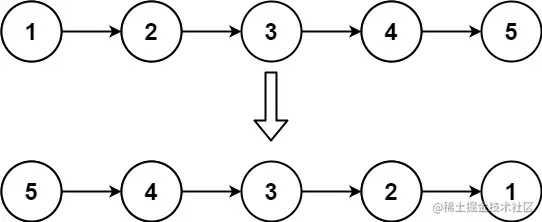
示例 1:

image.png

输入:head = [1,2,3,4,5]
输出:[5,4,3,2,1]

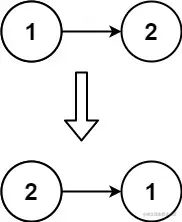
示例 2:

image.png

输入:head = [1,2]
输出:[2,1]

示例 3:

输入:head = []
输出:[]

提示:

  • 链表中节点的数目范围是 [0, 5000]
  • -5000 <= Node.val <= 5000

剖析

这道题比较简单,把链表的指针掉个头就行。如下:

1->2->3->null改成null<-1->2->3

代码

public class LinkList {
    public class ListNode {
        int val;
        ListNode next;

        ListNode() {
        }

        ListNode(int val) {
            this.val = val;
        }

        ListNode(int val, ListNode next) {
            this.val = val;
            this.next = next;
        }
    }
    public ListNode reverseList(ListNode head) {
        ListNode curr = head;
        ListNode prev = null;
        while (curr != null) {
            ListNode next = curr.next;
            curr.next = prev;
            prev = curr;
            curr = next;
        }
        return prev;
    }
}    

为了方便测试可以使用以下代码:

import java.util.LinkedList;

/**
 * description :
 *
 * @author : wanghaifeng
 * date : 2022/1/19
 */
public class LinkList {
    /**
     * 头
     */
    private ListNode first;
    /**
     * 当前最后一个
     */
    private ListNode last;

    public class ListNode {
        int val;
        ListNode next;

        ListNode() {
        }

        ListNode(int val) {
            this.val = val;
        }

        ListNode(int val, ListNode next) {
            this.val = val;
            this.next = next;
        }
    }

    /**
     * 尾插
     *
     * @param i
     */
    public void putTail(Integer i) {
        ListNode l = last;
        ListNode newNode = new ListNode(i, null);
        last = newNode;
        if (l == null) {
            first = newNode;
        } else {
            l.next = newNode;
        }
    }

    @Override
    public String toString() {
        StringBuffer sb = new StringBuffer("[");
        if (first != null) {
            sb.append(first.val);
            ListNode nextNode = first.next;
            while (nextNode != null) {
                sb.append(", " + nextNode.val);
                nextNode = nextNode.next;
            }
            sb.append("]");
            return sb.toString();
        }
        return "[]";
    }

    public ListNode getLast() {
        return last;
    }

    public ListNode reverseList(ListNode head) {
        ListNode curr = head;
        ListNode prev = null;
        last = head;
        while (curr != null) {
            ListNode next = curr.next;
            curr.next = prev;
            prev = curr;
            curr = next;
        }
        first = prev;
        return prev;
    }

    public static void main(String[] args) {
        LinkList linkList = new LinkList();
        for (int i = 1; i < 6; i++) {
            linkList.putTail(i);
        }

        System.out.println(linkList);

        linkList.reverseList(linkList.first);
        System.out.println(linkList);
//        LinkedList<Integer> linkedList = new LinkedList<>();
//        for (int i = 1; i < 6; i++) {
//            linkedList.add(i);
//        }
//        System.out.println(linkedList.toString());
    }
}