你必须要知道CNN模型:ResNet

153 阅读9分钟

作者:叶 虎

编辑:张   欢

\

PART

01 ResNet简介

\

引言

\

深度残差网络(Deep residual network, ResNet)的提出是CNN图像史上的一件里程碑事件,让我们先看一下ResNet在ILSVRC和COCO 2015上的战绩:

\

图1 ResNet在ILSVRC和COCO 2015上的战绩

ResNet取得了5项第一,并又一次刷新了CNN模型在ImageNet上的历史:

图2 ImageNet分类Top-5误差

ResNet的作者何凯明(kaiminghe.com/)也因此摘得CVPR2… learning)。下面详细讲述ResNet的理论及实现。

\

PART

02 深度网络的退化问题

\

\

从经验来看,网络的深度对模型的性能至关重要,当增加网络层数后,网络可以进行更加复杂的特征模式的提取,所以当模型更深时理论上可以取得更好的结果,从图2中也可以看出网络越深而效果越好的一个实践证据。但是更深的网络其性能一定会更好吗?实验发现深度网络出现了退化问题(Degradation problem):网络深度增加时,网络准确度出现饱和,甚至出现下降。这个现象可以在图3中直观看出来:56层的网络比20层网络效果还要差。这不会是过拟合问题,因为56层网络的训练误差同样高。我们知道深层网络存在着梯度消失或者爆炸的问题,这使得深度学习模型很难训练。但是现在已经存在一些技术手段如BatchNorm来缓解这个问题。因此,出现深度网络的退化问题是非常令人诧异的。

 

\

图3 20层与56层网络在CIFAR-10上的误差

\

\

PART

03 残差学习

\

\

深度网络的退化问题至少说明深度网络不容易训练。但是我们考虑这样一个事实:现在你有一个浅层网络,你想通过向上堆积新层来建立深层网络,一个极端情况是这些增加的层什么也不学习,仅仅复制浅层网络的特征,即这样新层是恒等映射(Identity mapping)。在这种情况下,深层网络应该至少和浅层网络性能一样,也不应该出现退化现象。好吧,你不得不承认肯定是目前的训练方法有问题,才使得深层网络很难去找到一个好的参数。

这个有趣的假设让何博士灵感爆发,他提出了残差学习来解决退化问题。对于一个堆积层结构(几层堆积而成)当输入为时其学习到的特征记为,现在我们希望其可以学习到残差,这样其实原始的学习特征是。之所以这样是因为残差学习相比原始特征直接学习更容易。当残差为0时,此时堆积层仅仅做了恒等映射,至少网络性能不会下降,实际上残差不会为0,这也会使得堆积层在输入特征基础上学习到新的特征,从而拥有更好的性能。残差学习的结构如图4所示。这有点类似与电路中的“短路”,所以是一种短路连接(shortcutconnection)。

图4 残差学习单元

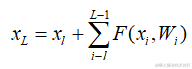
为什么残差学习相对更容易,从直观上看残差学习需要学习的内容少,因为残差一般会比较小,学习难度小点。不过我们可以从数学的角度来分析这个问题,首先残差单元可以表示为:

\

其中分别表示的是第个残差单元的输入和输出,注意每个残差单元一般包含多层结构。 是残差函数,表示学习到的残差,而 表示恒等映射, 是ReLU激活函数。基于上式,我们求得从浅层 到深层的学习特征\

利用链式规则,可以求得反向过程的梯度:

\

式子的第一个因子表示的损失函数到达的梯度,小括号中的1表明短路机制可以无损地传播梯度,而另外一项残差梯度则需要经过带有weights的层,梯度不是直接传递过来的。残差梯度不会那么巧全为-1,而且就算其比较小,有1的存在也不会导致梯度消失。所以残差学习会更容易。要注意上面的推导并不是严格的证明。\

\

\

\

PART

04 **Resnet的网络结构
**

\

\

\

\

\

\

\

\

\

\

\

\

\

\

\

\

\

\

\

\

\

\

\

\

\

\

\

\

\

\

ResNet网络是参考了VGG19网络,在其基础上进行了修改,并通过短路机制加入了残差单元,如图5所示。变化主要体现在ResNet直接使用stride=2的卷积做下采样,并且用global average pool层替换了全连接层。ResNet的一个重要设计原则是:当feature map大小降低一半时,featuremap的数量增加一倍,这保持了网络层的复杂度。从图5中可以看到,ResNet相比普通网络每两层间增加了短路机制,这就形成了残差学习,其中虚线表示featuremap数量发生了改变。图5展示的34-layer的ResNet,还可以构建更深的网络如表1所示。从表中可以看到,对于18-layer和34-layer的ResNet,其进行的两层间的残差学习,当网络更深时,其进行的是三层间的残差学习,三层卷积核分别是1x1,3x3和1x1,一个值得注意的是隐含层的feature map数量是比较小的,并且是输出feature map数量的1/4。

图5 ResNet网络结构图

 

 

表1 不同深度的ResNet

下面我们再分析一下残差单元,ResNet使用两种残差单元,如图6所示。左图对应的是浅层网络,而右图对应的是深层网络。对于短路连接,当输入和输出维度一致时,可以直接将输入加到输出上。但是当维度不一致时(对应的是维度增加一倍),这就不能直接相加。有两种策略:(1)采用zero-padding增加维度,此时一般要先做一个downsamp,可以采用strde=2的pooling,这样不会增加参数;(2)采用新的映射(projection shortcut),一般采用1x1的卷积,这样会增加参数,也会增加计算量。短路连接除了直接使用恒等映射,当然都可以采用projection shortcut。

图6 不同的残差单元

作者对比18-layer和34-layer的网络效果,如图7所示。可以看到普通的网络出现退化现象,但是ResNet很好的解决了退化问题。

图7 18-layer和34-layer的网络效果

最后展示一下ResNet网络与其他网络在ImageNet上的对比结果,如表2所示。可以看到ResNet-152其误差降到了4.49%,当采用集成模型后,误差可以降到3.57%。

 

 

表2 ResNet与其他网络的对比结果

说一点关于残差单元题外话,上面我们说到了短路连接的几种处理方式,其实作者在文献[2]中又对不同的残差单元做了细致的分析与实验,这里我们直接抛出最优的残差结构,如图8所示。改进前后一个明显的变化是采用pre-activation,BN和ReLU都提前了。而且作者推荐短路连接采用恒等变换,这样保证短路连接不会有阻碍。感兴趣的可以去读读这篇文章。

图8 改进后的残差单元及效果

\

\

\

\

\

\

\

\

\

\

\

\

\

\

\

\

\

\

\

\

\

\

\

\

\

\

\

\

\

\

\

\

\

\

\

\

\

\

\

\

\

\

\

\

\

\

\

\

\

\

\

\

\

\

\

\

\

\

\

\

\

\

\

\

\

\

\

\

PART

05 **ResNet的TensorFlow实现
**

\

\

这里给出ResNet50的TensorFlow实现,模型的实现参考了Caffe版本的实现(github.com/KaimingHe/d…

\

class ResNet50(object):
  def __init__(self, inputs,num_classes=1000, is_training=True,scope="resnet50"):
  self.inputs =inputs
  self.is_training =is_training
  self.num_classes =num_classes
  with tf.variable_scope(scope):
     # construct themodel
   net =conv2d(inputs, 64, 7, 2, scope="conv1")#-> 
  [batch,112, 112, 64]
   net = tf.nn.relu(batch_norm(net,is_training=self.is_training, scope="bn1"))
   net = max_pool(net, 3, 2, scope="maxpool1")#-> 
[batch, 56, 56, 64]
   net = self._block(net, 256, 3, init_stride=1, is_training=self.is_training,scope="block2")# ->
[batch, 56,56, 256]
   net = self._block(net, 512, 4, is_training=self.is_training, scope="block3")#-> 
[batch, 28, 28, 512]
   net = self._block(net, 1024, 6, is_training=self.is_training,scope="block4")#-> 
[batch, 14, 14, 1024]
   net = self._block(net, 2048, 3, is_training=self.is_training, scope="block5")#-> 
[batch, 7, 7, 2048]
   net =avg_pool(net, 7, scope="avgpool5")#-> 
[batch, 1,1, 2048]
   net =tf.squeeze(net, [1, 2],
            name="SpatialSqueeze")#-> 
[batch,2048]
   self.logits = fc(net, self.num_classes,"fc6")#-> 
[batch,num_classes]
   self.predictions =tf.nn.softmax(self.logits)
   def _block(self, x, n_out, n,init_stride=2, is_training=True, scope="block"):
    with tf.variable_scope(scope):
    h_out = n_out // 4
    out = self._bottleneck(x,h_out, n_out,      stride=init_stride,is_training=is_training, scope="bottlencek1")
    for i in range(1, n):
      out = self._bottleneck(out,h_out, n_out, is_training=is_training,scope=("bottlencek%s"% (i + 1)))
      return out
    def _bottleneck(self, x, h_out, n_out,stride=None, is_training=True, scope="bottleneck"):
    """A residual bottleneck unit"""
     n_in =x.get_shape()[-1]
     if stride is None:
      stride = 1 if n_in == n_out else 2
     with tf.variable_scope(scope):
       h = conv2d(x, h_out, 1, stride=stride, scope="conv_1")
       h = batch_norm(h, is_training=is_training, scope="bn_1")
       h = tf.nn.relu(h)
       h = conv2d(h, h_out, 3, stride=1, scope="conv_2")
       h = batch_norm(h, is_training=is_training, scope="bn_2")
       h = tf.nn.relu(h)
       h = conv2d(h, n_out, 1, stride=1, scope="conv_3")
       h = batch_norm(h, is_training=is_training, scope="bn_3")
     if n_in != n_out:
       shortcut = conv2d(x,n_out, 1, stride=stride, scope="conv_4")
       shortcut =batch_norm(shortcut, is_training=is_training, scope="bn_4")
      else:
        shortcut = x
        return tf.nn.relu(shortcut+ h)

\

 

完整实现可以参见GitHub(github.com/xiaohu2015/…

\

\

\

\

\

\

\

\

\

\

\

\

\

\

\

\

\

\

\

\

\

\

\

\

PART

06 结束

\

总结

\

ResNet通过残差学习解决了深度网络的退化问题,让我们可以训练出更深的网络,这称得上是深度网络的一个历史大突破吧。也许不久会有更好的方式来训练更深的网络,让我们一起期待吧!

参考资料


参考资料

\

1. Deep ResidualLearning for Image Recognition: arxiv.org/abs/1512.03….

2. Identity Mappings in Deep Residual Networks: arxiv.org/abs/1603.05….

3. 去膜拜一下大神: kaiminghe.com/.

\


\


机器学习算法全栈工程师\


                            一个用心的公众号\

长按,识别,加关注\

进群,学习,得帮助

你的关注,我们的热度,

我们一定给你学习最大的帮助

\

\

\



\

\

\

公众号商务合作请联系  ▶▶▶

\

\

\