LeetCode刷题日记精选例题(附代码+链接)

113 阅读4分钟

精选例题

文章目录


一、删除链表节点

给你一个链表的头节点 head 和一个整数 val ,请你删除链表中所有满足 Node.val == val 的节点,并返回 新的头节点
来源:力扣(LeetCode)
题目链接

在这里插入图片描述

   public ListNode removeElements(ListNode head, int val) {

        if (head==null){
            return head;
        }
       ListNode dummy = new ListNode(-1,head);
       ListNode pre = dummy;
       ListNode temp = head;

       while (temp!=null){
           if (temp.val==val){
               pre.next=temp.next;
           }else {
               pre=temp;
           }
           temp=temp.next;
       }
       return dummy.next;
    }

二、设计链表

设计链表的实现。您可以选择使用单链表或双链表。单链表中的节点应该具有两个属性:val 和 next。val 是当前节点的值,next 是指向下一个节点的指针/引用。如果要使用双向链表,则还需要一个属性 prev 以指示链表中的上一个节点。假设链表中的所有节点都是 0-index 的。

在链表类中实现这些功能:

get(index):获取链表中第 index 个节点的值。如果索引无效,则返回-1。
addAtHead(val):在链表的第一个元素之前添加一个值为 val 的节点。插入后,新节点将成为链表的第一个节点。
addAtTail(val):将值为 val 的节点追加到链表的最后一个元素。
addAtIndex(index,val):在链表中的第 index 个节点之前添加值为 val 的节点。如果 index 等于链表的长度,则该节点将附加到链表的末尾。如果 index 大于链表长度,则不会插入节点。如果index小于0,则在头部插入节点。
deleteAtIndex(index):如果索引 index 有效,则删除链表中的第 index 个节点。

在这里插入图片描述

来源:力扣(LeetCode)
题目链接

单链表实现

class MyLinkedList {
    //size存储链表元素的个数
    int size;
    //虚拟头结点
    ListNode head;

    //初始化链表
    public MyLinkedList() {
        size = 0;
        head = new ListNode(0);
    }

    //获取链表中第 index 个节点的值。如果索引无效,则返回-1
    public int get(int index) {
        if (index<0||index>=size){
            return -1;
        }

        ListNode cur = head;
        for (int i=0;i<=index;i++){
            cur = cur.next;
        }
        return cur.val;
    }

    //addAtHead(val):在链表的第一个元素之前添加一个值为 val 的节点。插入后,新节点将成为链表的第一个节点
    public void addAtHead(int val) {
        addAtIndex(-1,val);
    }

    //addAtTail(val):将值为 val 的节点追加到链表的最后一个元素
    public void addAtTail(int val) {
        addAtIndex(size,val);
    }

    //addAtIndex(index,val):在链表中的第 index 个节点之前添加值为 val  的节点。如果 index 等于链表的长度,则该节点将附加到链表的末尾
    public void addAtIndex(int index, int val) {
        if (index>size){
            return;
        }

        //为负数
        if (index<0){
            index=0;
        }
        size++;

        ListNode cur = head;

        for (int i=0;i<index;i++){
            //找到要插入节点的前驱
            cur = cur.next;
        }
        ListNode node = new ListNode(val);
        node.next = cur.next;
        cur.next = node;

    }

    //deleteAtIndex(index):如果索引 index 有效,则删除链表中的第 index 个节点
    public void deleteAtIndex(int index) {
        if (index<0||index>=size){
            return;
        }

        size--;
        ListNode cur = head;
        for (int i=0;i<index;i++){
            cur = cur.next;
        }
        cur.next = cur.next.next;
    }

    //遍历链表
    public void list(){
        ListNode cur = head;
        while (cur!=null){
            System.out.println(cur);
            cur = cur.next;
        }
    }
}

双向链表实现

class MyLinkedList {
    int size;
    ListNode head,tail;//Sentinel node

    class ListNode {
        int val;
        ListNode next;
        ListNode pre;

        ListNode() {
        }

        ListNode(int val) {
            this.val = val;
        }

        @Override
        public String toString() {
            return "ListNode{" +
                    "val=" + val +
                    '}';
        }
    }

    /** Initialize your data structure here. */
    public MyLinkedList() {
        size = 0;
        head = new ListNode(0);
        tail = new ListNode(0);
        head.next = tail;
        tail.pre = head;
    }

    //获取链表中第 index 个节点的值。如果索引无效,则返回-1
    public int get(int index) {
        if (index<0||index>=size){
            return -1;
        }

        ListNode cur = head;
        for (int i=0;i<=index;i++){
            cur = cur.next;
        }
        return cur.val;
    }

    //addAtHead(val):在链表的第一个元素之前添加一个值为 val 的节点。插入后,新节点将成为链表的第一个节点
    public void addAtHead(int val) {
        addAtIndex(-1,val);
    }

    //addAtTail(val):将值为 val 的节点追加到链表的最后一个元素
    public void addAtTail(int val) {
        addAtIndex(size,val);
    }

    //addAtIndex(index,val):在链表中的第 index 个节点之前添加值为 val  的节点。如果 index 等于链表的长度,则该节点将附加到链表的末尾
    public void addAtIndex(int index, int val) {
        if (index>size){
            return;
        }
        if (index<0){
            index=0;
        }
        ListNode node = new ListNode(val);
        ListNode cur = head;
        //到达要插入节点的前驱节点
        for (int i=0;i<index;i++){
            cur=cur.next;
        }
        node.next = cur.next;
        node.pre = cur;
        cur.next.pre=node;
        cur.next=node;
        size++;
    }

    //deleteAtIndex(index):如果索引 index 有效,则删除链表中的第 index 个节点
    public void deleteAtIndex(int index) {
        if (index<0||index>=size){
            return;
        }
        ListNode cur = head;
        //到达要删除节点的前驱节点
        for (int i=0;i<index;i++){
            cur=cur.next;
        }
        cur.next.next.pre=cur;
        cur.next=cur.next.next;
        size--;
    }

    //遍历链表
    public void list(){
        ListNode cur = head;
        while (cur!=null){
            System.out.println(cur);
            cur = cur.next;
        }
    }
}

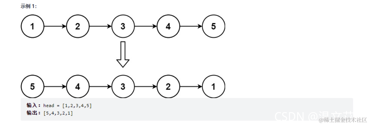
三、反转链表

给你单链表的头节点 head ,请你反转链表,并返回反转后的链表。
来源:力扣(LeetCode)
题目链接
在这里插入图片描述
在这里插入图片描述
在这里插入图片描述

    public ListNode reverseList(ListNode head) {
        if (head==null){
            return null;
        }
        ListNode cur = head;
        ListNode reverseNode = new ListNode();
        ListNode temp = null;
        ListNode pre = new ListNode();
        pre.next=head;
        while (cur!=null){
            temp = cur.next;//将其下一个先记录下来
            cur.next = reverseNode.next;
            reverseNode.next=cur;
            cur=temp;
        }
        pre.next=reverseNode.next;
        return pre.next;
    }

四、两两交换链表中的节点

给定一个链表,两两交换其中相邻的节点,并返回交换后的链表。

你不能只是单纯的改变节点内部的值,而是需要实际的进行节点交换。
来源:力扣(LeetCode)
题目链接
在这里插入图片描述

    public ListNode swapPairs(ListNode head) {
        if (head==null){
            return null;
        }
        ListNode temp = new ListNode(-1);
        temp.next=head;
        ListNode prev = temp;
        while (prev.next!=null&&prev.next.next!=null){
            ListNode p = head.next.next;
            prev.next=head.next;
            head.next.next=head;
            head.next = p;
            prev=head;
            head=head.next;
        }
        return temp.next;
    }

五、删除链表的倒数第N个节点

给你一个链表,删除链表的倒数第 n 个结点,并且返回链表的头结点。
来源:力扣(LeetCode)
题目链接
在这里插入图片描述

六、链表相交

给定两个(单向)链表,判定它们是否相交并返回交点。请注意相交的定义基于节点的引用,而不是基于节点的值。换句话说,如果一个链表的第k个节点与另一个链表的第j个节点是同一节点(引用完全相同),则这两个链表相交。

示例 1:

输入:listA = [4,1,8,4,5], listB = [5,0,1,8,4,5]

输出:Reference of the node with value = 8

输入解释:相交节点的值为 8 (注意,如果两个列表相交则不能为 0)。从各自的表头开始算起,链表 A 为 [4,1,8,4,5],链表 B 为 [5,0,1,8,4,5]。在 A 中,相交节点前有 2 个节点;在 B 中,相交节点前有 3 个节点。

图示两个链表在节点 c1 开始相交:

来源:力扣(LeetCode)
题目链接
在这里插入图片描述
在这里插入图片描述
在这里插入图片描述

    public ListNode getIntersectionNode(ListNode headA, ListNode headB) {
        //思路,计算A链表和B链表的长度,并计算出长度的差值n,让长链表的指针向后移动n位
        //比较节点大小,相等则返回,否则向后移动
        int lengthA = getLength(headA);
        int lengthB = getLength(headB);

        ListNode curA=headA;
        ListNode curB=headB;
        //让A链表为长度最长的链表
        if (lengthB-lengthA>0){
            ListNode t = curA;
            curA=curB;
            curB=t;
            int tN = lengthA;
            lengthA=lengthB;
            lengthB=tN;
        }
        int X = lengthA-lengthB;
        //curA代表的为长度最长的链表
        for (int i=0;i<X;i++){
            curA = curA.next;
        }

        //开始逐个比较大小
        while (curA!=null){
            if (curA==curB){
                return curA;
            }
            curA=curA.next;
            curB=curB.next;
        }
        return null;
    }

    //获得链表长度
    public int getLength(ListNode node){
        int length = 0;
        ListNode cur = node;
        while (cur!=null){
            length++;
            cur=cur.next;
        }
        return length;
    }

七、环形链表II

给定一个链表,返回链表开始入环的第一个节点。 如果链表无环,则返回 null。

如果链表中有某个节点,可以通过连续跟踪 next 指针再次到达,则链表中存在环。 为了表示给定链表中的环,评测系统内部使用整数 pos 来表示链表尾连接到链表中的位置(索引从 0 开始)。如果 pos 是 -1,则在该链表中没有环。注意:pos 不作为参数进行传递,仅仅是为了标识链表的实际情况。

不允许修改 链表。

来源:力扣(LeetCode)
题目链接
在这里插入图片描述

题目解析

我们可以采用快慢指针算法,在这个问题中我们必须要解决两个重要的问题‘

  1. 链表是否成环
  2. 环形的起始位置在哪里

我们设置两个指针,快指针fast一次走两步,慢指针slow一次走一步,这样fast的行进速度比slow块,虽然fast先走,但只要链表成环,则必有一次fast==slow

此时我们可以得到slow指针的行动路程为(进入环形之前的路程X+进入链表之后的路程Y)

fast指针必须至少要走完环形链表一圈才能与slow遇见,

我们设X为进入环形前的长度,设Y为进入环形后到slow与fast相遇的长度,设Z为slow与fast相遇的位置离环形起点的长度

在这里插入图片描述
此时有slow位置=X+Y,fast位置=X+2Y+Z,因为fast一次走两步,slow一次走一步,所以slow所走路程为fast的1/2

可得方程式

2(X+Y)=X+2Y+Z

解得

X=Z

故我们在slow与fast相遇后设置temp指针指向head,fast=fast.next,temp=temp.next,直到fast==temp位置,此时temp便是入口节点

    public ListNode detectCycle(ListNode head) {
        if (head==null||head.next==null){
            return null;
        }
        ListNode fast = head;
        ListNode slow = head;
        fast=head;
        //判断是否成环
        int length = 0;
        while (fast!=null&&fast.next!=null){
            fast = fast.next.next;
            slow = slow.next;
            if (fast==slow){
                ListNode temp = head;
                while (temp!=fast){
                    fast=fast.next;
                    temp=temp.next;
                }
                return temp;
            }
        }
        return null;
    }