快排&堆排&归排&三种排序的比较

190 阅读6分钟

目录

快排

快速排序中最简单的(递归调用)

注:倒序,和 列表中有大量重复元素时,时间复杂度很大

快排例子

注:快排代码实现(类似于二叉树 递归调用)

时间复杂度:O(nlog₂n)
空间复杂度:O(nlog₂n)
稳定性:不稳定


快排代码

#!/usr/bin/env python
# -*- coding:utf-8 -*-
import random
import sys
sys.setrecursionlimit(10000000)             #设置系统最大递归深度

def quick_sort(data, left, right):
    if left < right:
        mid = partition(data, left, right)    # mid返回的是上一个用来排序那个数的下标
        quick_sort(data, left, mid - 1)
        quick_sort(data, mid + 1,right)

# 每执行一次partition函数都可以实现将某个数左边都比这个数小右边都比这个数大
def partition(data, left, right):
    tmp = data[left]
    while left < right:
        while left < right and data[right] >= tmp:     # 从右向左找小于tmp的数放到左边空位置
            right -= 1
        data[left] = data[right]                       # 将右边小于tmp值得数放到左边空位置
        while left < right and data[left] <= tmp:      # 从左向右找到大于tmp的值放到右边空位置
            left += 1
        data[right] = data[left]                       # 将右边大于tmp值得数放到右边空位置
    data[left] = tmp
    return left

data = list(range(100))
random.shuffle(data)                                 #将有序列表打乱
quick_sort(data, 0, len(data) - 1)
print(data)

不使用递归实现快排

#! /usr/bin/env python
# -*- coding: utf-8 -*-
def quick_sort(arr):
    '''''
    模拟栈操作实现非递归的快速排序
    '''
    if len(arr) < 2:
        return arr
    stack = []
    stack.append(len(arr)-1)
    stack.append(0)
    while stack:
        l = stack.pop()
        r = stack.pop()
        index = partition(arr, l, r)
        if l < index - 1:
            stack.append(index - 1)
            stack.append(l)
        if r > index + 1:
            stack.append(r)
            stack.append(index + 1)


def partition(arr, start, end):
    # 分区操作,返回基准线下标
    pivot = arr[start]
    while start < end:
        while start < end and arr[end] >= pivot:
            end -= 1
        arr[start] = arr[end]
        while start < end and arr[start] <= pivot:
            start += 1
        arr[end] = arr[start]
    # 此时start = end
    arr[start] = pivot
    return start

lst = [1,3,5,7,9,2,4,6,8,10]
quick_sort(lst)
print lst   # [1, 2, 3, 4, 5, 6, 7, 8, 9, 10]

快排简易实现

#! /usr/bin/env python
# -*- coding: utf-8 -*-
def quick(list):
    if len(list) < 2:
        return list

    tmp = list[0]  # 临时变量 可以取随机值
    left = [x for x in list[1:] if x <= tmp]  # 左列表
    right = [x for x in list[1:] if x > tmp]  # 右列表
    return quick(left) + [tmp] + quick(right)

li = [4,3,7,5,8,2]
print quick(li)  # [2, 3, 4, 5, 7, 8]

#### 对[4,3,7,5,8,2]排序
'''
[3, 2] + [4] + [7, 5, 8]                 # tmp = [4]
[2] + [3] + [4] + [7, 5, 8]              # tmp = [3] 此时对[3, 2]这个列表进行排序
[2] + [3] + [4] + [5] + [7] + [8]        # tmp = [7] 此时对[7, 5, 8]这个列表进行排序
'''

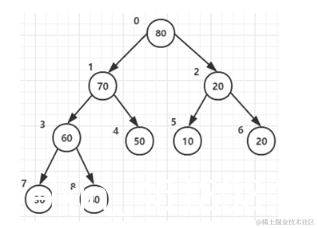
快排的原理
在这里插入图片描述
快排思路详解

# 从排序前--------> 到P归位 经历过程(前面都比5小后面都比5大)
# 1、    首先从右向左比较,取出列表第一个元素5(第一个位置就空出来)与列表最后一个元素8比较,8>5不换位置
# 2、    用5与-2位置的9比,5<9不换位置
# 3、    5与-3位置的2比较,2<5,将-3位置的5放到1号位置,那么-3号位置空出来了,然后从左往右比较
# 4、    5与2号位置的7比,5<7,将7放到-3号位置,2号位置空出来了,在从右往左比
# 5、    -4号位置的1小于5将1放到空出的2号位置,-4位置空出来了,再从右向左比
# 6、    这样第一次循环就实现了5放到列表中间,前面的都比5大,后面的都比5小

快排与冒泡时间复杂度对比
在这里插入图片描述
快排最坏时间复杂度为何为O(n2)

  1. 每次划分只能将序列分为一个元素与其他元素两部分,这时的快速排序退化为冒泡排序
    2.如果用数画出来,得到的将会是一棵单斜树,也就是说所有所有的节点只有左(右)节点的树;平均时间复杂度O(n*logn)

堆排序

堆的定义

  1. 堆中某个节点的值总是不大于或不小于其父节点的值
  2. 堆总是一棵完全二叉树
  3. 完全二叉树定义:

若设二叉树的深度为h,除第 h 层外,其它各层 (1~h-1) 的结点数都达到最大个数
第 h 层所有的结点都连续集中在最左边,这就是完全二叉树

  1. 完全二叉树特性

一个高度为h的完全二叉树最多有 2n -1 个节点
根为 i 号节点,左孩子 为 2i、 右孩子为 2i+1,父亲节点 (i – 1) / 2
一个满二叉树 第 m层节点个数 等于 2m-1 个

推导一个h层的满二叉树为何 有 2h -1 个节点
在这里插入图片描述

调长定义(节点的左右子树都是堆但自己不是堆)

  • 调长图解
    在这里插入图片描述
  • 调长原理
  1. 首先将2拿出来与9和7比,这里面9最大,就用9作为根
  2. 2放到9以前的位置,与8和5比,8最大放到开始9的位置
  3. 2放到起始8的位置与6和4比,6最大,就出现了右边那张图了

构造堆:从最后一个有孩子的父亲开始

构造堆

#! /usr/bin/env python
# -*- coding: utf-8 -*-
def sift(data, low, high):
   '''  构造堆  堆定义:堆中某节点的值总是不大于或不小于父节点的值
   :param data: 传入的待排序的列表
   :param low:  需要进行排序的那个小堆的根对应的号
   :param high: 需要进行排序那个小堆最大的那个号
   :return:
   '''
   i = low            #i最开始创建堆时是最后一个有孩子的父亲对应根的号
   j = 2 * i+ 1       #j子堆左孩子对应的号
   tmp = data[i]      #tmp是子堆中原本根的值(拿出最高领导)
   while j <= high:  #只要没到子堆的最后(每次向下找一层)  #孩子在堆里
      # if j < high and data[j] < data[j + 1]:
      if j + 1 <= high and data[j] < data[j + 1]: #如果有右孩纸,且比左孩子大
         j += 1
      if tmp < data[j]:        #如果孩子还比子堆原有根的值tmp大,就将孩子放到子堆的根
         data[i] = data[j]     #孩子成为子堆的根
         i = j                 #孩子成为新父亲(向下再找一层)
         j = 2 * i + 1         #新孩子  (此时如果j<=high证明还有孩,继续找)
      else:
         break                 #如果能干就跳出循环就会流出一个空位
   data[i] = tmp                #最高领导放到父亲位置

def heap_sort(data):
   '''调整堆'''
   n = len(data)
   # n//2-1 就是最后一个有孩子的父亲那个子堆根的位置
   for i in range(n // 2 - 1, -1, -1):  #开始位置,结束位置, 步长       这个for循环构建堆
      # for循环输出的是: (n // 2 - 1 ) ~ 0 之间的数
      sift(data, i , n-1)     # i是子堆的根,n-1是堆中最后一个元素


data = [20,50,20,60,70,10,80,30,40]
heap_sort(data)
print data  # [80, 70, 20, 60, 50, 10, 20, 30, 40]
  • 在构造有序堆时,我们开始只需要扫描一半的元素(n/2-1 ~ 0)即可,为什么?
  • 因为(n/2-1)~0的节点才有子节点,如图1,n=8,(n/2-1) = 3 即3 2 1 0这个四个节点才有子节点
  • 所以代码4~6行for循环的作用就是将3 2 1 0这四个节点从下到上,从右到左的与它自己的子节点比较并调整最终形成大顶堆,过程如下:
  • 第一次for循环将节点3和它的子节点7 8的元素进行比较,最大者作为父节点(即元素60作为父节点)
    在这里插入图片描述
  • 第二次for循环将节点2和它的子节点5 6的元素进行比较,最大者为父节点(元素80作为父节点)
    在这里插入图片描述
  • 第三次for循环将节点1和它的子节点3 4的元素进行比较,最大者为父节点(元素70作为父节点)
    在这里插入图片描述
  • 第四次for循环将节点0和它的子节点1 2的元素进行比较,最大者为父节点(元素80作为父节点)
    在这里插入图片描述

注:元素20和元素80交换后,20所在的节点还有子节点,所以还要再和它的子节点5 6的元素进行比较,这就是28行代码 i = j 的原因

  • 至此有序堆已经构造好了!如上面右图
    在这里插入图片描述

调整堆

  1. 调整堆过程
1、建立堆
2、通过调长,得到堆顶元素,为最大元素
3、去掉堆顶,将最后一个元素放到堆顶,此时可通过一次调整重新使堆有序
4、堆顶元素为第二大元素
5、重复步骤3,直到堆变空
  1. 调整堆具体步骤

堆顶元素80和尾40交换后–>调整堆
在这里插入图片描述

堆顶元素70和尾30交换后–>调整堆
在这里插入图片描述

堆顶元素60尾元素20交换后–>调整堆
在这里插入图片描述
其他依次类推,最终已排好序的元素如下
在这里插入图片描述

堆排序代码实现

# !/usr/bin/env python
# -*- coding:utf-8 -*-
import random

def sift(data, low, high):
    '''  构造堆  堆定义:堆中某节点的值总是不大于或不小于父节点的值
    :param data: 传入的待排序的列表
    :param low:  需要进行排序的那个小堆的根对应的号
    :param high: 需要进行排序那个小堆最大的那个号
    :return:
    '''
    root = low  # root最开始创建堆时是最后一个有孩子的父亲对应根的号
    child = 2 * root + 1  # child子堆左孩子对应的号
    tmp = data[root]  # tmp是子堆中原本根的值(拿出最高领导)
    while child <= high:  # 只要没到子堆的最后(每次向下找一层)  #孩子在堆里
        if child + 1 <= high and data[child] < data[child + 1]:  # 如果有右孩纸,且比左孩子大
            child += 1
        if tmp < data[child]:  # 如果孩子还比子堆原有根的值tmp大,就将孩子放到子堆的根
            data[root] = data[child]  # 孩子成为子堆的根
            root = child  # 孩子成为新父亲(向下再找一层)
            child = 2 * root + 1  # 新孩子  (此时如果child<=high证明还有孩,继续找)
        else:
            break  # 如果能干就跳出循环就会流出一个空位
    data[root] = tmp  # 最高领导放到父亲位置

def heap_sort(data):
    '''调整堆'''
    n = len(data)
    ''' n//2-1 就是最后一个有孩子的父亲那个子堆根的位置 '''
    for i in range(n // 2 - 1, -1, -1):  # 开始位置,结束位置, 步长       这个for循环构建堆
        # for循环输出的是: (n // 2 - 1 ) ~ 0 之间的数
        sift(data, i, n - 1)  # i是子堆的根,n-1是堆中最后一个元素
    # 堆建好了,后下面就是挨个出数
    for i in range(n - 1, -1, -1):  # i指向堆的最后        这个for循环出数然后,调长调整堆
        # for循环输出的是 : n-1 ~ 0之间所有的数,n-1就是这个堆最后那个数的位置
        data[0], data[i] = data[i], data[0]  # 将堆的第一个和最后一个值调换位置(将最大数放到最后)
        sift(data, 0, i - 1)  # 将出数后的部分重新构建堆(调长)


data = list(range(100))
random.shuffle(data)  # 将有序列表打乱
heap_sort(data)
print(data)

初始化建堆过程时间:O(n) 公式推导

参考博客:www.cnblogs.com/GHzz/p/9635…

说明:建堆时间复杂度指初始化堆需要调整父节点和子节点顺序次数

推导初始化对时间复杂度:O(n)

''' 假设高度为:k '''
#### 1、推倒第i层的总时间:s = 2^( i - 1 )  *  ( k - i )
# 说明:如果在最差的条件下,就是比较次数后还要交换;因为这个是常数,所以提出来后可以忽略;
'''
1. 2^( i - 1):表示该层上有多少个元素
2. ( k - i):表示子树上要下调比较的次数:第一层节点需要调整(h-1)次,最下层非叶子节点需要调整1次。
3. 推倒
    倒数第1层下调次数:s = 2^( i - 1 )  *  0 
    倒数第2层下调次数:s = 2^( i - 1 )  *  1
    倒数第3层下调次数:s = 2^( i - 1 )  *  2
    倒数第i层下调次数:s = 2^( i - 1 )  *  ( k - i )
'''

#### 2、一次新建堆总时间:S = n - longn -1  # 根据1中公式带人推倒
# S = 2^(k-2) * 1 + 2^(k-3)*2.....+2*(k-2)+2^(0)*(k-1)  ===> 因为叶子层不用交换,所以i从 k-1 开始到 1;
'''
S = 2^(k-2) * 1 + 2^(k-3)*2.....+2*(k-2)+2^(0)*(k-1)     # 等式左右乘上2,然后和原来的等式相减,就变成了:
S = 2^(k - 1) + 2^(k - 2) + 2^(k - 3) ..... + 2 - (k-1)
S = 2^k -k -1                                            # 又因为k为完全二叉树的深度,所以 
(2^(k-1)) <=  n < (2^k - 1 )                             # 两边同时对2取对数,简单可得
k = logn                                                 # 实际计算得到应该是 log(n+1) < k <= logn 

综上所述得到:S = n - longn -1,所以时间复杂度为:O(n)
'''

堆排序时间:O(nlogn) 公式推导

  • 推导方法1

循环 n -1 次,每次都是从根节点往下循环查找,所以每一次时间是 logn,总时间:logn(n-1) = nlogn - logn

  • 推导方法2
  1. 在一个堆中一次调长(调整堆)时间复杂度: log(n)
  2. 排序时一次出栈顶元素需要循环 n次,每次时间复杂度为:log(n)
  3. 所以总时间复杂度:nlog(n)

归并排序

归并原理图(递归调用)

在这里插入图片描述
时间复杂度:O(nlog₂n)
空间复杂度:O(1)
稳定性:稳定

归并排序代码

#! /usr/bin/env python
# -*- coding: utf-8 -*-
def merge(li, low, mid, high):
   '''
   :param li:      带排序列表
   :param low:     列表中第一个元素下标,一般是:0
   :param mid:     列表中间位置下标
   :param high:    列表最后位置下标
   :return:
   '''
   i = low
   j = mid + 1
   ltmp = []
   while i <= mid and j <= high:
      if li[i] < li[j]:
         ltmp.append(li[i])
         i += 1
      else:
         ltmp.append(li[j])
         j += 1
   while i <= mid:
      ltmp.append(li[i])
      i += 1
   while j <= high:
      ltmp.append(li[j])
      j += 1
   li[low:high+1] = ltmp

def mergesort(li, low, high):
   if low < high:
      mid = (low + high) // 2          #获取列表中间的索引下标
      mergesort(li, low, mid)          #先分解
      mergesort(li, mid+1, high)
      merge(li, low, mid, high)        #然后合并

data = [10,4,6,3,8,2,5,7]
mergesort(data, 0 , len(data) -1)
print(data)                            # [2, 4, 6, 8, 10, 12, 14, 16, 18]

三种排序的比较

  • 三种排序算法时间复杂度都是( O(nlogn) )
  • 一般情况下,就运行时间而言
    快速排序 < 归并排序 < 堆排序
  • 三种排序算法的缺点

快速排序: 极端情况下排序效率低( O(n2) )
归并排序: 需要额外内存开销(需要新建一个列表放排序的元素)
堆排序: 在快的排序算法中相对较慢,堆排序最稳定

详细链接参考这个