【优化求解】基于精英反向和纵横交叉的鲸鱼优化算法求解单目标优化问题附matlab代码(ECWOA)

227 阅读2分钟

1 简介

针对鲸鱼优化算法收敛速度慢,收敛精度低以及易陷入局部最优等问题,提出一种基于精英反向和纵横交叉的鲸鱼优化算法(ECWOA).该算法首先通过精英反向学习策略初始化种群,以提高初始解的质量,加快全局收敛速度;其次,采用逆不完全Γ函数更新收敛因子来平衡算法全局探索和局部开发能力;最后,利用纵横交叉策略对种群和全局最优解进行修正,以此来保证种群个体的多样性,提高算法跳出局部最优的能力.通过对8个经典测试函数的仿真实验表明,ECWOA算法的寻优精度和收敛速度均有明显的提升.

2 部分代码

%_____________________________________%

%  Whale Optimization Algorithm (WOA) source codes demo 1.0               %

%                                                                         %

%                                                                         %

%_____________________________________%

% You can simply define your cost in a seperate file and load its handle to fobj 

% The initial parameters that you need are:

%______________________

% fobj = @YourCostFunction

% dim = number of your variables

% Max_iteration = maximum number of generations

% SearchAgents_no = number of search agents

% lb=[lb1,lb2,...,lbn] where lbn is the lower bound of variable n

% ub=[ub1,ub2,...,ubn] where ubn is the upper bound of variable n

% If all the variables have equal lower bound you can just

% define lb and ub as two single number numbers

% To run ALO: [Best_score,Best_pos,cg_curve]=ALO(SearchAgents_no,Max_iteration,lb,ub,dim,fobj)

% The Whale Optimization Algorithm

function [Leader_score,Leader_pos,Convergence_curve]=WOA(SearchAgents_no,Max_iter,lb,ub,dim,fobj,handles,value)

% initialize position vector and score for the leader

Leader_pos=zeros(1,dim);

Leader_score=inf; %change this to -inf for maximization problems

%Initialize the positions of search agents

Positions=initialization(SearchAgents_no,dim,ub,lb);

Convergence_curve=zeros(1,Max_iter);

t=0;% Loop counter

% Main loop

while t<Max_iter

    for i=1:size(Positions,1)

        

        % Return back the search agents that go beyond the boundaries of the search space

        Flag4ub=Positions(i,:)>ub;

        Flag4lb=Positions(i,:)<lb;

        Positions(i,:)=(Positions(i,:).*(~(Flag4ub+Flag4lb)))+ub.*Flag4ub+lb.*Flag4lb;

        

        % Calculate objective function for each search agent

        fitness=fobj(Positions(i,:));

        All_fitness(1,i)=fitness;

        

        % Update the leader

        if fitness<Leader_score % Change this to > for maximization problem

            Leader_score=fitness; % Update alpha

            Leader_pos=Positions(i,:);

        end

        

    end

    

    a=2-t*((2)/Max_iter); % a decreases linearly fron 2 to 0 in Eq. (2.3)

    

    % a2 linearly dicreases from -1 to -2 to calculate t in Eq. (3.12)

    a2=-1+t*((-1)/Max_iter);

    

    % Update the Position of search agents 

    for i=1:size(Positions,1)

        r1=rand(); % r1 is a random number in [0,1]

        r2=rand(); % r2 is a random number in [0,1]

        

        A=2*a*r1-a;  % Eq. (2.3) in the paper

        C=2*r2;      % Eq. (2.4) in the paper

        

        

        b=1;               %  parameters in Eq. (2.5)

        l=(a2-1)*rand+1;   %  parameters in Eq. (2.5)

        

        p = rand();        % p in Eq. (2.6)

        

        for j=1:size(Positions,2)

            

            if p<0.5   

                if abs(A)>=1

                    rand_leader_index = floor(SearchAgents_no*rand()+1);

                    X_rand = Positions(rand_leader_index, :);

                    D_X_rand=abs(C*X_rand(j)-Positions(i,j)); % Eq. (2.7)

                    Positions(i,j)=X_rand(j)-A*D_X_rand;      % Eq. (2.8)

                    

                elseif abs(A)<1

                    D_Leader=abs(C*Leader_pos(j)-Positions(i,j)); % Eq. (2.1)

                    Positions(i,j)=Leader_pos(j)-A*D_Leader;      % Eq. (2.2)

                end

                

            elseif p>=0.5

              

                distance2Leader=abs(Leader_pos(j)-Positions(i,j));

                % Eq. (2.5)

                Positions(i,j)=distance2Leader*exp(b.*l).*cos(l.*2*pi)+Leader_pos(j);

                

            end

            

        end

    end

    

    t=t+1;

    Convergence_curve(t)=Leader_score;

    

    if t>2

        line([t-1 t], [Convergence_curve(t-1) Convergence_curve(t)],'Color','b')

        xlabel('Iteration');

        ylabel('Best score obtained so far');        

        drawnow

    end

    

    set(handles.itertext,'String', ['The current iteration is ', num2str(t)])

    set(handles.optimumtext,'String', ['The current optimal value is ', num2str(Leader_score)])

    if value==1

        hold on

        scatter(t*ones(1,SearchAgents_no),All_fitness,'.','k')

    end

    

    

    

    

end

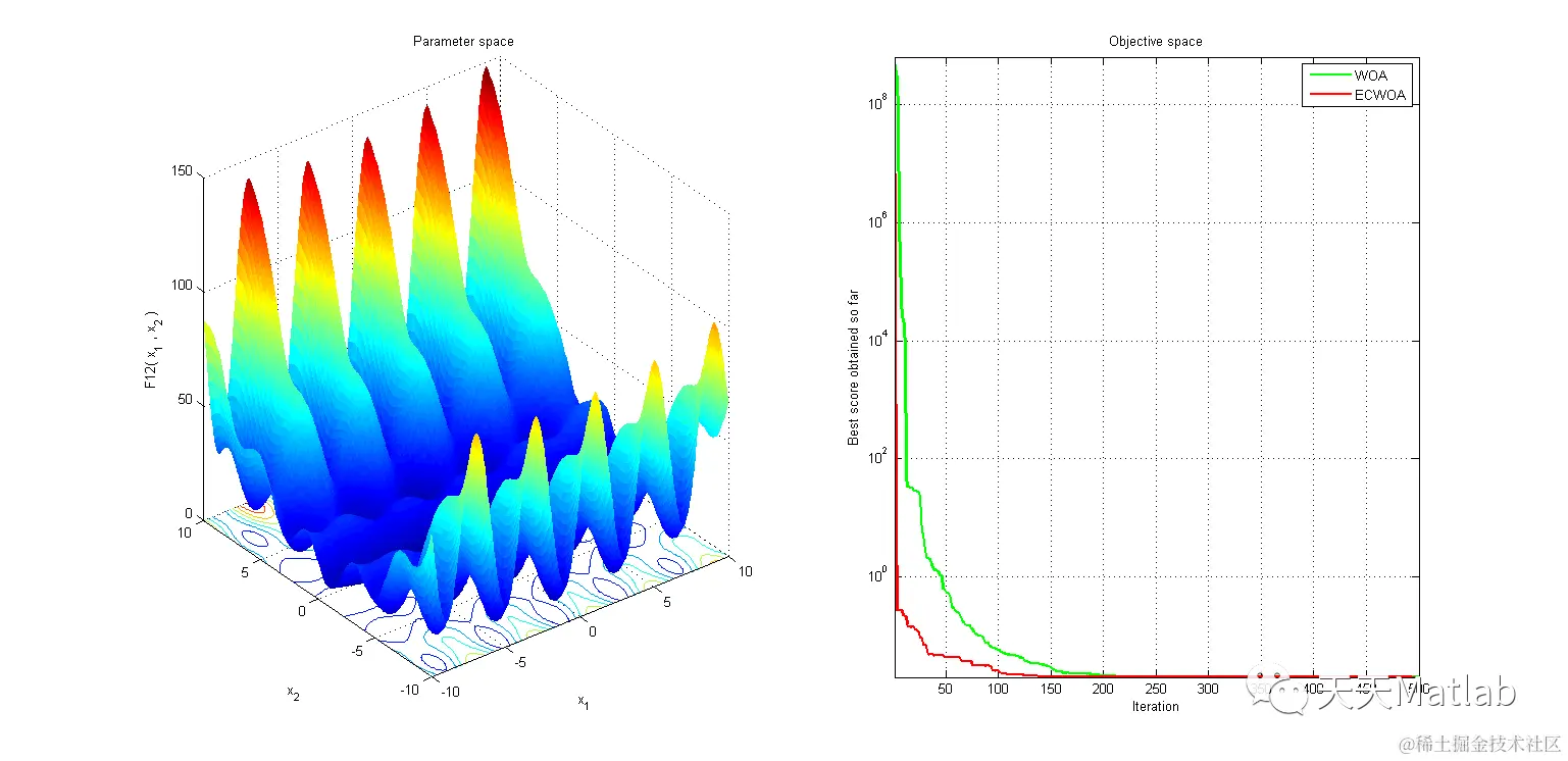
​3 仿真结果

4 参考文献

[1]刘琨, 赵露露, 王辉. 一种基于精英反向和纵横交叉的鲸鱼优化算法[J]. 小型微型计算机系统, 2020, 41(10):6.

博主简介:擅长智能优化算法、神经网络预测、信号处理、元胞自动机、图像处理、路径规划、无人机等多种领域的Matlab仿真,相关matlab代码问题可私信交流。

部分理论引用网络文献,若有侵权联系博主删除。