【路径规划】基于BBO算法的无人机三维路径规划matlab源码

171 阅读9分钟

摘要:Alfred Wallace和Charles Darwin在19世纪提出了生物地理学理论,研究生物物种栖息地的分布、迁移和灭绝规律。Simon受到生物地理学理论的启发,在对生物物种迁移数学模型的研究基础上,于 2008年提出了一种新的智能优化算法 — 生物地理学优化算法(Biogeography-Based Optimization,BBO)。BBO算法是一种基于生物地理学理论的新型算法,具有良好的收敛性和稳定性,受到越来越多学者的关注。

1.算法原理

BO算法的基本思想来源于生物地理学理论。如图1所示,生物物种生活在多个栖息地(Habitat)上,每个栖息地用栖息适宜指数(Habitat Suitability Index,HSI)表示,与HSI相关的因素有降雨量、植被多样性、地貌特征、土地面积、温度和湿度等,将其称为适宜指数变量(Suitability Index Variables,SIV)。

在这里插入图片描述

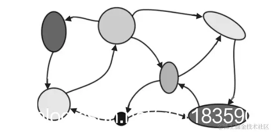
图1.BBO算法中的多个栖息地

HSI是影响栖息地上物种分布和迁移的重要因素之一。较高 HSI的栖息地物种种类多;反之,较低 HSI的栖息地物种种类少。可见,栖息地的HSI与生物多样性成正比。高 HSI的栖息地由于生存空间趋于饱和等 问题会有大量物种迁出到相邻栖息地,并伴有少量物种迁入;而低 HSI的栖息地其物种数量较少,会有较多物种的迁入和较少物种的迁出。但是,当某一栖息地HSI一直保持较低水平时,则该栖息地上的物种会趋于灭绝,或寻找另外的栖息地,也就是突变。迁移和突变是BBO算法的两个重要操作。栖息地之间通过迁移和突变操作,增强物种间信息的交换与共享,提高物种的多样性。

BBO算法具有一般进化算法简单有效的特性,与其他进化算法具有类似特点。 (1)栖息适宜指数HSI表示优化问题的适应度函数值,类似于遗传算法中的适应度函数。HSI是评价解集好坏的标准。 (2)栖息地表示候选解,适宜指数变量 SIV 表示解的特征,类似于遗传算法中的“基因”。

(3)栖息地的迁入和迁出机制提供了解集中信息交换机制。高 HSI的解以一定的迁出率将信息共享给低HSI的解。 (4)栖息地会根据物种数量进行突变操作,提高种群多样性,使得算法具有较强的自适应能力。

BBO算法的具体流程为: 步骤1 初始化BBO算法参数,包括栖息地数量N NN、迁入率最大值I II和迁出率最大值E EE、最大突变率 m m a x m_{max}mmax​ 等参数。 步骤2 初始化栖息地,对每个栖息地及物种进行随机或者启发式初始化。 步骤3 计算每个栖息地的适宜指数HSI;判断是否满足停止准则,如果满足就停止,输出最优解;否则转步骤4。 步骤4 执行迁移操作,对每个栖息地计算其迁入率和迁出率,对SIV进行修改,重新计算适宜指数HSI。 步骤5 执行突变操作,根据突变算子更新栖息地物种,重新计算适宜指数HSI。 步骤6 转到步骤3进行下一次迭代。

1.1 迁移操作

如图2所示,该模型为单个栖息地的物种迁移模型。 在这里插入图片描述

图2.BBO算法的迁移模型

横坐标为栖息地种群数量 S ,纵坐标为迁移比率 η,λ(s) 和 μ(s) 分别为种群数量的迁入率和迁出率。当种群数量为 0 时,种群的迁出率 μ(s) 为 0,种群的迁入率λ(s) 最大;当种群数量达到 S max 时,种群的迁入率 λ(s)为0,种群迁出率 u(s) 达到最大。当种群数量为 S 0 时,迁出率和迁入率相等,此时达到动态平衡状态。根据图2,得出迁入率和迁出率为: { λ ( s ) = I ( 1 − S / S m a x ) u ( s ) = E S / S m a x (1)

{λ(s)=I(1−S/Smax)u(s)=ES/Smax{λ(s)=I(1−S/Smax)u(s)=ES/Smax

\tag{1}{λ(s)=I(1−S/Smax)u(s)=ES/Smax(1) 迁移操作的步骤可以描述为: Step1:for i= 1 to N do Step2: 用迁入率λ i λ_iλi​ 选取x j x^jxj

Step3: if (0,1)之间的均匀随机数小于λ i λ_iλi then Step4: for j= 1 to N do Step5: 用迁出率 u i u_iui​ 选取x j x_jxj​ Step6: if (0,1)之间的均匀随机数小于 u i u_iui​ then Step7: 从 x j x^jxj中随机选取一个变量SIV Step8: 用SIV替换x i x^ixi中的一个随机SIV Step9: end if Step10: end for Step11: end if Step12:end for

1.2 突变(Mutation)操作

突变操作是模拟栖息地生态环境的突变,改变栖息地物种的数量,为栖息地提供物种的多样性,为算法提供更多的搜索目标。栖息地的突变概率与其物种数量概率成反比。即 m s = m m a x ( 1 − P s / P m a x ) (2) m_s = m {max}(1-P_s/P{max})\tag{2}ms​=mmax​(1−Ps​/Pmax​)(2) 其中: m m a x m {max}mmax​ 为最大突变率; P s P_sPs​ 为栖息地中物种数量为 s ss对应的概率; P m a x P{max}Pmax​ 为 P s P_sPs​ 的最大值; m s m_sms​ 是栖息地中物种数量为 s ss对应的突变概率。

突变操作的步骤可以描述为: Step1:for i= 1 to N do Step2: 计算突变概率 P s P_sPs​ Step3: 用突变概率 P s P_sPs​ 选取一个变量 x i x_ixi​ Step4: if (0,1)之间的均匀随机数小于 m s m_sms​ then Step5: 随机一个变量代替 x i x^ixi 中的SIV Step6: end if Step7:end for

2 部分代码

close all;
clear all;
clc;
addpath(genpath('./'));
​
%% Plan path
disp('Planning ...');
map = load_map('maps/map4.txt', 0.1, 0.5, 0.25);
start = { [1 -4 1]};
stop  = {[0.1 17 3]};
​
%start = {[0 1 5]};
%stop = {[19 1 5]};
nquad = length(start);
for qn = 1:nquad
    v = cputime;
    path{qn} = bbo(map, start{qn}, stop{qn});
    c = cputime - v;
    fprintf('Algo Execution time = %d \n',c);
end
if nquad == 1
    plot_path(map, path{1});
else
    % you could modify your plot_path to handle cell input for multiple robots
end
​
%% Additional init script
init_script;
​
%% Run trajectory
trajectory = test_trajectory(start, stop, map, path, true); % with visualization

function [xtraj, ttraj, terminate_cond] = test_trajectory(start, stop, map, path, vis)
% TEST_TRAJECTORY simulates the robot from START to STOP following a PATH
% that's been planned for MAP.
% start - a 3d vector or a cell contains multiple 3d vectors
% stop  - a 3d vector or a cell contains multiple 3d vectors
% map   - map generated by your load_map
% path  - n x 3 matrix path planned by your dijkstra algorithm
% vis   - true for displaying visualization
​
%Controller and trajectory generator handles
controlhandle = @controller;
trajhandle    = @trajectory_generator;
​
% Make cell
if ~iscell(start), start = {start}; end
if ~iscell(stop),  stop  = {stop}; end
if ~iscell(path),  path  = {path} ;end
​
% Get nquad
nquad = length(start);
​
% Make column vector
for qn = 1:nquad
    start{qn} = start{qn}(:);
    stop{qn} = stop{qn}(:);
end
​
% Quadrotor model
params = nanoplus();
​
%% **************************** FIGURES *****************************
% Environment figure
if nargin < 5
    vis = true;
end
​
fprintf('Initializing figures...\n')
if vis
    h_fig = figure('Name', 'Environment');
else
    h_fig = figure('Name', 'Environment', 'Visible', 'Off');
end
if nquad == 1
    plot_path(map, path{1});
else
    % you could modify your plot_path to handle cell input for multiple robots
end
h_3d = gca;
drawnow;
xlabel('x [m]'); ylabel('y [m]'); zlabel('z [m]')
quadcolors = lines(nquad);
set(gcf,'Renderer','OpenGL')
​
%% Trying Animation of Blocks
NoofBlocks = size(map(:,1),1);
x_0 = map(1,4);
x_1 = map(2,4);
y_0 = map(1,5);
y_1 = map(2,5);
z_0 = map(1,6);
z_1 = map(2,6);
​
    for i=1:2:NoofBlocks
​
        xb_0 = map(i,1);
        xb_1 = map(i+1,1);
        yb_0 = map(i,2);
        yb_1 = map(i+1,2);
        zb_0 = map(i,3);
        zb_1 = map(i+1,3);
             
        B_1 = [xb_0 yb_0 zb_0]';
        B_2 = [xb_1 yb_0 zb_0]';
        B_3 = [xb_0 yb_0 zb_1]';
        B_4 = [xb_1 yb_0 zb_1]';
        B_5 = [xb_0 yb_1 zb_0]';
        B_6 = [xb_1 yb_1 zb_0]';
        B_7 = [xb_0 yb_1 zb_1]';
        B_8 = [xb_1 yb_1 zb_1]';
​
​
    %     BlockCoordinatesMatrix(j:j+7,:) = [B_1';B_2';B_3';B_4';B_5';B_6';B_7';B_8'];
%         BlockCoordinatesMatrix(j:j+1,:) = [B_1';B_8'];
%         BlockCoordinates(i,:) = {B_1 B_2 B_3 B_4 B_5 B_6 B_7 B_8};
%         j = j+2;
​
​
        S_1 = [B_1 B_2 B_4 B_3];
        S_2 = [B_5 B_6 B_8 B_7];
        S_3 = [B_3 B_4 B_8 B_7];
        S_4 = [B_1 B_2 B_6 B_5];
        S_5 = [B_1 B_3 B_7 B_5];
        S_6 = [B_2 B_4 B_8 B_6];
​
        fill3([S_1(1,:)' S_2(1,:)' S_3(1,:)' S_4(1,:)' S_5(1,:)' S_6(1,:)'],[S_1(2,:)' S_2(2,:)' S_3(2,:)' S_4(2,:)' S_5(2,:)' S_6(2,:)'],[S_1(3,:)' S_2(3,:)' S_3(3,:)' S_4(3,:)' S_5(3,:)' S_6(3,:)'],[1 0 0]);%[cell2mat(Block(i,8))/255 cell2mat(Block(i,9))/255 cell2mat(Block(i,10))/255]);
        xlabel('x'); ylabel('y'); zlabel('z'); 
        axis([min(x_0,x_1) (max(x_0,x_1)) min(y_0,y_1) (max(y_0,y_1)) min(z_0,z_1) (max(z_0,z_1))])
        grid
        hold on
    end
    
​
​
​
%% *********************** INITIAL CONDITIONS ***********************
fprintf('Setting initial conditions...\n')
% Maximum time that the quadrotor is allowed to fly
time_tol = 50;          % maximum simulation time
starttime = 0;          % start of simulation in seconds
tstep     = 0.01;       % this determines the time step at which the solution is given
cstep     = 0.05;       % image capture time interval
nstep     = cstep/tstep;
time      = starttime;  % current time
max_iter  = time_tol / cstep;      % max iteration
for qn = 1:nquad
    % Get start and stop position
    x0{qn}    = init_state(start{qn}, 0);
    xtraj{qn} = zeros(max_iter*nstep, length(x0{qn}));
    ttraj{qn} = zeros(max_iter*nstep, 1);
end
​
% Maximum position error of the quadrotor at goal
pos_tol  = 0.05; % m
% Maximum speed of the quadrotor at goal
vel_tol  = 0.05; % m/sx = x0;        % state
​
%% ************************* RUN SIMULATION *************************
fprintf('Simulation Running....\n')
for iter = 1:max_iter
    timeint = time:tstep:time+cstep;
    tic;
    % Iterate over each quad
    for qn = 1:nquad
        % Initialize quad plot
        if iter == 1
            QP{qn} = QuadPlot(qn, x0{qn}, 0.1, 0.04, quadcolors(qn,:), max_iter, h_3d);
            desired_state = trajhandle(time, qn);
            QP{qn}.UpdateQuadPlot(x{qn}, [desired_state.pos; desired_state.vel], time);
            h_title = title(sprintf('iteration: %d, time: %4.2f', iter, time));
        end
​
        % Run simulation
        [tsave, xsave] = ode45(@(t,s) quadEOM(t, s, qn, controlhandle, trajhandle, params), timeint, x{qn});
        x{qn} = xsave(end, :)';
        % Save to traj
        xtraj{qn}((iter-1)*nstep+1:iter*nstep,:) = xsave(1:end-1,:);
        ttraj{qn}((iter-1)*nstep+1:iter*nstep)   = tsave(1:end-1);
​
        % Update quad plot
        desired_state = trajhandle(time + cstep, qn);
        QP{qn}.UpdateQuadPlot(x{qn}, [desired_state.pos; desired_state.vel], time + cstep);
    end
​
    set(h_title, 'String', sprintf('iteration: %d, time: %4.2f', iter, time + cstep))
    time = time + cstep; % Update simulation time
    t = toc;
​
    % Pause to make real-time
    if (t < cstep)
        pause(cstep - t);
    end
​
    % Check termination criteria
    terminate_cond = terminate_check(x, time, stop, pos_tol, vel_tol, time_tol);
    if terminate_cond
        break
    end


​
end
​
fprintf('Simulation Finished....\n')
​
%% ************************* POST PROCESSING *************************
% Truncate xtraj and ttraj
for qn = 1:nquad
    xtraj{qn} = xtraj{qn}(1:iter*nstep,:);
    ttraj{qn} = ttraj{qn}(1:iter*nstep);
end
​
% Plot the saved position and velocity of each robot
if vis
    for qn = 1:nquad
        % Truncate saved variables
        QP{qn}.TruncateHist();
        % Plot position for each quad
        h_pos{qn} = figure('Name', ['Quad ' num2str(qn) ' : position']);
        plot_state(h_pos{qn}, QP{qn}.state_hist(1:3,:), QP{qn}.time_hist, 'pos', 'vic');
        plot_state(h_pos{qn}, QP{qn}.state_des_hist(1:3,:), QP{qn}.time_hist, 'pos', 'des');
        % Plot velocity for each quad
        h_vel{qn} = figure('Name', ['Quad ' num2str(qn) ' : velocity']);
        plot_state(h_vel{qn}, QP{qn}.state_hist(4:6,:), QP{qn}.time_hist, 'vel', 'vic');
        plot_state(h_vel{qn}, QP{qn}.state_des_hist(4:6,:), QP{qn}.time_hist, 'vel', 'des');
    end
end
​
end

3 仿真结果

img

4 参考文献

[1]黄宁, 刘刚, 何兵. 基于生物地理学优化的多UCAV协同航迹规划[J]. 计算机仿真, 2013, 30(5):117-120.

部分理论引用网络文献,若有侵权联系博主删除。

博主简介:擅长智能优化算法、神经网络预测、信号处理、元胞自动机、图像处理、路径规划、无人机等多种领域的Matlab仿真,相关matlab代码问题可私信交流。

部分理论引用网络文献,若有侵权联系博主删除。