​【优化求解】基于莱维飞行和随机游动策略的灰狼算法CMGWO求解单目标matlab源码

231 阅读2分钟

1 简介

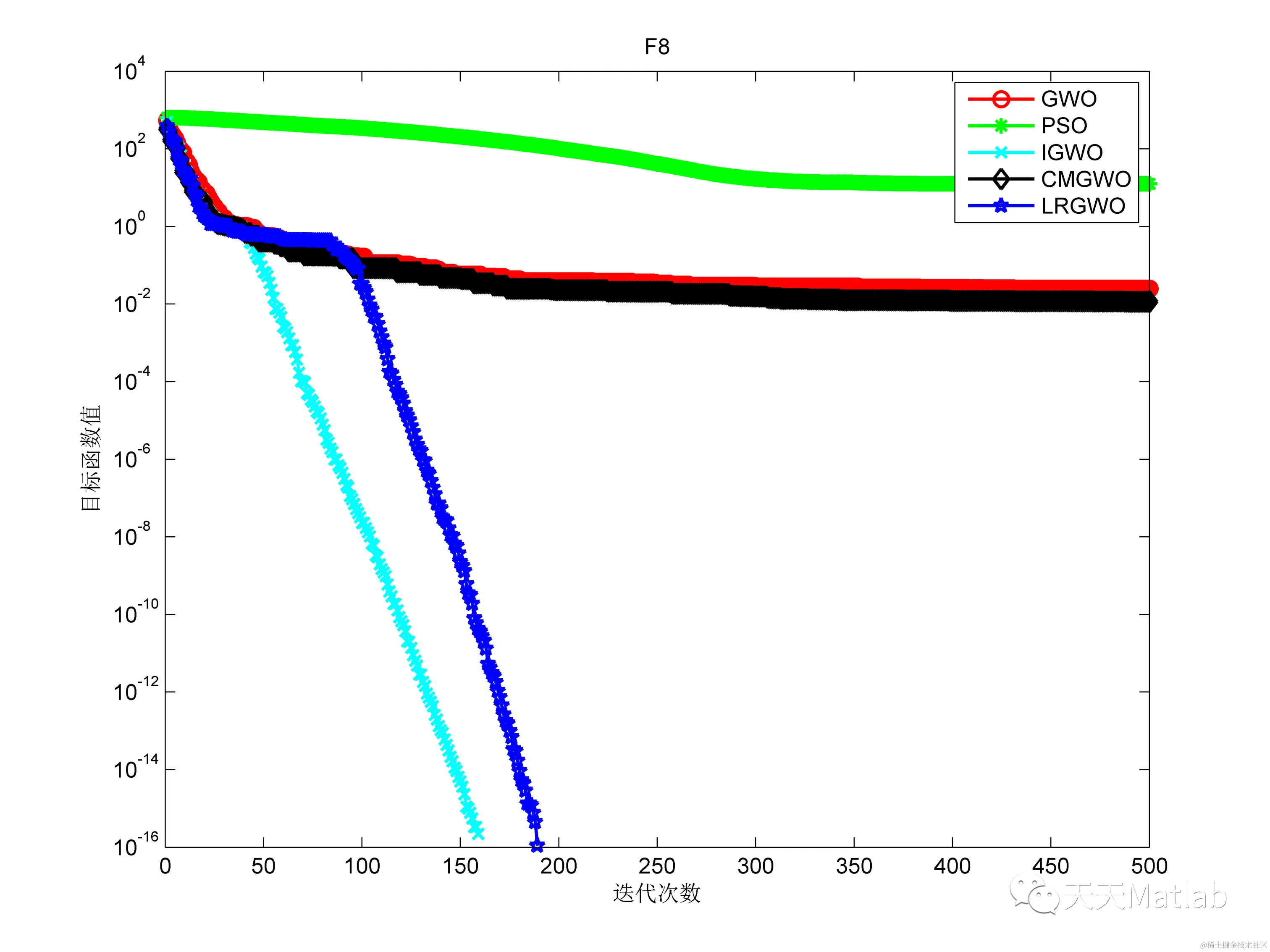
在标准灰狼优化算法寻优的中后期,由于衰减因子减小,灰狼群体中的个体均向领导层灰狼所在区域靠近,导致算法的全局寻优能力差,降低了寻优精度。针对该问题,提出了一种改进灰狼优化算法(ImprovedGreyWolfOptimization,IGWO)。该算法首先分析了衰减因子对灰狼算法(GreyWolfOptimization,GWO)的影响,提出了一种分段可调节衰减因子,用于平衡算法的勘探能力与开发能力。其可以根据不同优化问题来寻找适当的参数,实现更高精度的寻优,并且保证了在寻优过程的中后期,算法也具有一定的全局搜索能力。数值仿真实验表明,提高勘探比例有利于提高算法的收敛精度。同时,在寻优过程中,根据概率选择对领导层灰狼分别进行莱维飞行操作或随机游动操作。利用莱维飞行短距离搜索与偶尔较长距离行走相间的搜索特点,提高算法的全局寻优能力;利用随机游动相对集中的搜索特性,提高局部寻优能力。最后,对8个标准测试函数进行仿真实验,并与其他几种算法进行比较,实验结果表明,所提算法在寻优精度、算法稳定性及收敛速度上都有较大优势。

2 部分代码



% Grey Wolf Optimizer
function [Alpha_score,Alpha_pos,Convergence_curve]=GWO(SearchAgents_no,Max_iter,lb,ub,dim,fobj)

% initialize alpha, beta, and delta_pos
Alpha_pos=zeros(1,dim);
Alpha_score=inf; %change this to -inf for maximization problems

Beta_pos=zeros(1,dim);
Beta_score=inf; %change this to -inf for maximization problems

Delta_pos=zeros(1,dim);
Delta_score=inf; %change this to -inf for maximization problems

%Initialize the positions of search agents
Positions=initialization(SearchAgents_no,dim,ub,lb);

Convergence_curve=zeros(1,Max_iter);

l=0;% Loop counter

% Main loop
while l<Max_iter
    for i=1:size(Positions,1)  
        
       % Return back the search agents that go beyond the boundaries of the search space
        Flag4ub=Positions(i,:)>ub;
        Flag4lb=Positions(i,:)<lb;
        Positions(i,:)=(Positions(i,:).*(~(Flag4ub+Flag4lb)))+ub.*Flag4ub+lb.*Flag4lb;               
        
        % Calculate objective function for each search agent
        fitness=fobj(Positions(i,:));
        
        % Update Alpha, Beta, and Delta
        if fitness<Alpha_score 
            Alpha_score=fitness; % Update alpha
            Alpha_pos=Positions(i,:);
        end
        
        if fitness>Alpha_score && fitness<Beta_score 
            Beta_score=fitness; % Update beta
            Beta_pos=Positions(i,:);
        end
        
        if fitness>Alpha_score && fitness>Beta_score && fitness<Delta_score 
            Delta_score=fitness; % Update delta
            Delta_pos=Positions(i,:);
        end
    end
    
    
    a=2-l*((2)/Max_iter); % a decreases linearly fron 2 to 0
    
    % Update the Position of search agents including omegas
    for i=1:size(Positions,1)
        for j=1:size(Positions,2)     
                       
            r1=rand(); % r1 is a random number in [0,1]
            r2=rand(); % r2 is a random number in [0,1]
            
            A1=2*a*r1-a; % Equation (3.3)
            C1=2*r2; % Equation (3.4)
            
            D_alpha=abs(C1*Alpha_pos(j)-Positions(i,j)); % Equation (3.5)-part 1
            X1=Alpha_pos(j)-A1*D_alpha; % Equation (3.6)-part 1
                       
            r1=rand();
            r2=rand();
            
            A2=2*a*r1-a; % Equation (3.3)
            C2=2*r2; % Equation (3.4)
            
            D_beta=abs(C2*Beta_pos(j)-Positions(i,j)); % Equation (3.5)-part 2
            X2=Beta_pos(j)-A2*D_beta; % Equation (3.6)-part 2       
            
            r1=rand();
            r2=rand(); 
            
            A3=2*a*r1-a; % Equation (3.3)
            C3=2*r2; % Equation (3.4)
            
            D_delta=abs(C3*Delta_pos(j)-Positions(i,j)); % Equation (3.5)-part 3
            X3=Delta_pos(j)-A3*D_delta; % Equation (3.5)-part 3             
            
            Positions(i,j)=(X1+X2+X3)/3;% Equation (3.7)
            
        end
    end
    l=l+1;    
    Convergence_curve(l)=Alpha_score;
end

3 仿真结果

4 参考文献

[1]李阳, 李维刚, 赵云涛,等. 基于莱维飞行和随机游动策略的灰狼算法. 

博主简介:擅长智能优化算法、神经网络预测、信号处理、元胞自动机、图像处理、路径规划、无人机等多种领域的Matlab仿真,相关matlab代码问题可私信交流。