【人脸识别】基于 Gabor+SVM和PCA+SVM实现人脸识别matlab源码含 GUI

211 阅读9分钟

1 简介

随着经济的快速发展,互联网的普及,信息安全逐渐被人们所重视。人脸识别技术作为保护信息安全的重要手段之一,也逐渐被研究学者所重视。人脸识别作为计算机视觉技术和生物特征识别技术的一个重要分支,模式识别与人工智能的一个重要领域,其主要任务是对静态图像或动态视频进行识别。如何快速的正确的对人脸进行识别是目前人脸识别课题的一个难题。人脸识别算法的选取直接关系到人脸识别的识别率。 本文首先介绍了国内外人脸识别的发展现状,并对人脸图像预处理方法进行了详细阐述。图像预处理的方法有很多,主要包括:灰度变换、图像锐化、图像的归一化、图像滤波、二值化等。 其次,本文对主成分分析(PCA)算法、二维主成分分析(2DPCA)算法、线性辨别分析(LDA)算法进行了研究,并对三种算法进行了融合,形成了"PCA—LDA"算法及"2DPCA—LDA"算法。通过三个实验,验证这几种算法的性能。 最后,本文对Gabor小波及支持向量机(SVM)进行了研究,Gabor小波具有良好的生物神经元细胞功能,对光照变化具有良好的自适应变化,SVM具有良好的分类效果,本文将Gabor小波和SVM与PCA算法及2DPCA算法相结合,提出了基于Gabor小波和SVM的PCA算法(Gabor+PCA+SVM)及基于Gabor小波和SVM的2DPCA算法(Gabor+2DPCA+SVM)。

Gabor+SVM:利用Gabor程序实现对人脸的特征提取,然后用SVM进行分类; 1 Gabor Gabor 特征提取算法可以在不同方向上描述局部人脸特征,对光照、遮挡以及表情变换等情况具有较强的鲁棒性,即Gabor算法在异常和危险情况下具有较强的系统生存的能力。

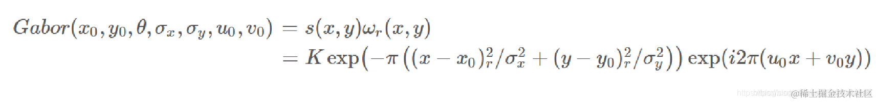
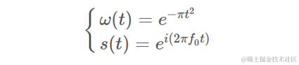
1.1 一维Gabor核: 其由一个高斯核与一个复数波的乘积定义为如下公式: 在这里插入图片描述​ 其中w(t)是高斯函数,s(t)是复数波,两者的一维数学表达式定义如下: 在这里插入图片描述​ 我们将s(t)代入一维Gabor公式可得下式: 在这里插入图片描述​ 我们将上述一维情况推广到二维 二维复数波定义如下,其中(x,y)表示空间域坐标,(u0,v0)表示频率域坐标。 在这里插入图片描述​ 二维高斯函数定义如下,其中σx,σy 分别为在x,y两个方向上的尺度参数,用来控制高斯函数在两个方向上的“展布”形状。(x0,y0)为高斯函数的中心点。K为高斯核的幅度的比例。 在这里插入图片描述​ 但是由于高斯函数还有旋转的操作,所以我们对坐标进行如下的变换: 在这里插入图片描述​ 由此,我们得到了坐标变换后的高斯函数公式,其中θ表示高斯核顺时针旋转的角度。 在这里插入图片描述​ 1.2 二维Gabor核 类似一维 Gabor 核,我们将二维高斯函数与二维复数波相乘,就得到了二维的Gabor核: 在这里插入图片描述​ 一个Gabor核能获取到图像某个频率邻域的响应情况,这个响应结果可以看做是图像的一个特征。如果我们用多个不同频率的Gabor核去获取图像在不同频率邻域的响应情况,最后就能形成图像在各个频率段的特征,这个特征就可以描述图像的频率信息了。

下图展示了一系列具有不同频率的 Gabor 核,用这些核与图像卷积,我们就能得到图像上每个点和其附近区域的频率分布情况。 在这里插入图片描述​ 经过 Gabor 滤波获到的人脸图像信息包含实部和虚部两部分,分别代表不同局部的人脸特征信息,为了提取更加全面的人脸特征信息,一般会采用两种特征值相结合的方法,比如幅值和相位信息。但 Gabor 的相位信息会因为人脸空间位置发生改变而不太稳定。Gabor 幅值信息变化相对稳定,并且充分反映了人脸图像的能量谱。因此采取 Gabor 幅值特征。经过Gabor幅值特征处理,得到了人脸 Gabor 特征信息。5 个尺度,8 个方向的 Gabor 特征提取图如下所示: 在这里插入图片描述

2 PCA+SVM: 2.1 PCA 主成分分析(Principal Component Analysis, 简称PCA)是常用的一种降维方法. 算法步骤: 在这里插入图片描述​ 2.2 SVM介绍 支持向量机(Support Vector Machines, 简称SVM)是一种二类分类模型. 划分超平面为: 在这里插入图片描述在这里插入图片描述​ 3 人脸识别步骤 将每张人脸图片(m,nm,n)读取并展开成(m×n,1m×n,1), 假设总有ll张图片, 所有排列到一起, 一列为一张图片, 最终形成一个(m×n,l)(m×n,l) 的矩阵作为原始数据; 数据中心化: 计算平均脸, 所有列都减去张平均脸; 计算矩阵的协方差矩阵/散布矩阵, 求出特征值及特征向量, 并将其从大到小排列取前K个特征; (到这步特征已将至K维) 计算中心化后的数据在K维特征的投影; 基于上一步的数据进行 One-VS-One Multiclass SVM模型训练; 读取用于测试的人脸图片, 同训练图片一样处理; 利用训练出的模型对测试图片进行分类; 计算准确率.

二、源代码

function varargout = pjimage(varargin)
% PJIMAGE MATLAB code for pjimage.fig
%      PJIMAGE, by itself, creates a new PJIMAGE or raises the existing
%      singleton*.
%
%      H = PJIMAGE returns the handle to a new PJIMAGE or the handle to
%      the existing singleton*.
%
%      PJIMAGE('CALLBACK',hObject,eventData,handles,...) calls the local
%      function named CALLBACK in PJIMAGE.M with the given input arguments.
%
%      PJIMAGE('Property','Value',...) creates a new PJIMAGE or raises the
%      existing singleton*.  Starting from the left, property value pairs are
%      applied to the GUI before pjimage_OpeningFcn gets called.  An
%      unrecognized property name or invalid value makes property application
%      stop.  All inputs are passed to pjimage_OpeningFcn via varargin.
%
%      *See GUI Options on GUIDE's Tools menu.  Choose "GUI allows only one
%      instance to run (singleton)".
%
% See also: GUIDE, GUIDATA, GUIHANDLES% Edit the above text to modify the response to help pjimage% Last Modified by GUIDE v2.5 11-Jun-2018 08:06:08% Begin initialization code - DO NOT EDIT
gui_Singleton = 1;
gui_State = struct('gui_Name',       mfilename, ...
                   'gui_Singleton',  gui_Singleton, ...
                   'gui_OpeningFcn', @pjimage_OpeningFcn, ...
                   'gui_OutputFcn',  @pjimage_OutputFcn, ...
                   'gui_LayoutFcn',  [] , ...
                   'gui_Callback',   []);
if nargin && ischar(varargin{1})
    gui_State.gui_Callback = str2func(varargin{1});
endif nargout
    [varargout{1:nargout}] = gui_mainfcn(gui_State, varargin{:});
else
    gui_mainfcn(gui_State, varargin{:});
end
% End initialization code - DO NOT EDIT
​
​
​
% --- Executes just before pjimage is made visible.
function pjimage_OpeningFcn(hObject, eventdata, handles, varargin)
% This function has no output args, see OutputFcn.
% hObject    handle to figure
% eventdata  reserved - to be defined in a future version of MATLAB
% handles    structure with handles and user data (see GUIDATA)
% varargin   command line arguments to pjimage (see VARARGIN)% Choose default command line output for pjimage
handles.output = hObject;
​
% Update handles structure
guidata(hObject, handles);
​
% UIWAIT makes pjimage wait for user response (see UIRESUME)
% uiwait(handles.figure_pjimage);
​
​
% --- Outputs from this function are returned to the command line.
function varargout = pjimage_OutputFcn(hObject, eventdata, handles) 
% varargout  cell array for returning output args (see VARARGOUT);
% hObject    handle to figure
% eventdata  reserved - to be defined in a future version of MATLAB
% handles    structure with handles and user data (see GUIDATA)% Get default command line output from handles structure
varargout{1} = handles.output;
​
​
% --------------------------------------------------------------------
function m_file_Callback(hObject, eventdata, handles)
% hObject    handle to m_file (see GCBO)
% eventdata  reserved - to be defined in a future version of MATLAB
% handles    structure with handles and user data (see GUIDATA)
​
​
% --------------------------------------------------------------------
function m_file_open_Callback(hObject, eventdata, handles)
% hObject    handle to m_file_open (see GCBO)
% eventdata  reserved - to be defined in a future version of MATLAB
% handles    structure with handles and user data (see GUIDATA)
​
​
% --------------------------------------------------------------------
function m_file_save_Callback(hObject, eventdata, handles)
% hObject    handle to m_file_save (see GCBO)
% eventdata  reserved - to be defined in a future version of MATLAB
% handles    structure with handles and user data (see GUIDATA)
​
​
% --------------------------------------------------------------------
function m_file_exit_Callback(hObject, eventdata, handles)
% hObject    handle to m_file_exit (see GCBO)
% eventdata  reserved - to be defined in a future version of MATLAB
% handles    structure with handles and user data (see GUIDATA)
​
​
% --- Executes on button press in pushbutton1.
function pushbutton1_Callback(hObject, eventdata, handles)
% hObject    handle to pushbutton1 (see GCBO)
% eventdata  reserved - to be defined in a future version of MATLAB
% handles    structure with handles and user data (see GUIDATA)
figure(1);
for i = 1:40 
    a = imread(strcat('C:\Users\lenovo\Desktop\人脸识别\人脸识别程序\ORL\s', num2str(i), '\1.pgm'));
    subplot(5,8,i);
    imshow(a);
end% --- Executes on button press in pushbutton2.
function pushbutton2_Callback(hObject, eventdata, handles)
% hObject    handle to pushbutton2 (see GCBO)
% eventdata  reserved - to be defined in a future version of MATLAB
% handles    structure with handles and user data (see GUIDATA)
figure(2);
 r = round(112 / 2);
 c = round(92 / 2);
 gamma = 0.5;
 theta = pi / 8;
 a = sqrt(2);
 fmax = 0.22;
 for u = 0 : 4
     f = a ^ (-u) * fmax;
     lambda = 1 / f;
     for v = 0 : 7
         sigma = 0.56 * lambda;
         GK = getGaborKernel(r ,c ,v * theta ,sigma ,lambda ,gamma);%得到一个方向一个尺度的Gabor图像
         subplot(5,8, u*8 + v + 1);
         imshow(GK);
     end
 end% --- Executes on button press in pushbutton3.
function pushbutton3_Callback(hObject, eventdata, handles)
% hObject    handle to pushbutton3 (see GCBO)
% eventdata  reserved - to be defined in a future version of MATLAB
% handles    structure with handles and user data (see GUIDATA)
p = imread('C:\Users\lenovo\Desktop\人脸识别\人脸识别程序\ORL\s1\1.pgm');
p = double(p);


[m , n] = size(p);
 r = round(m / 2);
 c = round(n / 2);
 gamma = 0.5;
 theta = pi / 8;
 a = sqrt(2);
 fmax = 0.22;
 figure(3);
 for u = 0 : 4
     f = a ^ (-u) * fmax;
     lambda = 1 / f;
     for v = 0 : 7
         sigma = 0.56 * lambda;
         GK = getGaborKernel(r ,c ,v * theta ,sigma ,lambda ,gamma);%得到一个方向一个尺度的Gabor图像
         x = conv2(p,GK,'same');%原图像与Gabor图像进行卷积   112 92
         subplot(5, 8, u*8 + v +1);
         imshow(x);
     end
 end% --- Executes during object deletion, before destroying properties.
function axes1_DeleteFcn(hObject, eventdata, handles)
% hObject    handle to axes1 (see GCBO)
% eventdata  reserved - to be defined in a future version of MATLAB
% handles    structure with handles and user data (see GUIDATA)
​
​
​
function edit1_Callback(hObject, eventdata, handles)
% hObject    handle to edit1 (see GCBO)
% eventdata  reserved - to be defined in a future version of MATLAB
% handles    structure with handles and user data (see GUIDATA)% Hints: get(hObject,'String') returns contents of edit1 as text
%        str2double(get(hObject,'String')) returns contents of edit1 as a double
​
​
% --- Executes during object creation, after setting all properties.
function edit1_CreateFcn(hObject, eventdata, handles)
% hObject    handle to edit1 (see GCBO)
% eventdata  reserved - to be defined in a future version of MATLAB
% handles    empty - handles not created until after all CreateFcns called% Hint: edit controls usually have a white background on Windows.
%       See ISPC and COMPUTER.
if ispc && isequal(get(hObject,'BackgroundColor'), get(0,'defaultUicontrolBackgroundColor'))
    set(hObject,'BackgroundColor','white');
end
​
​
​
function edit2_Callback(hObject, eventdata, handles)
% hObject    handle to edit2 (see GCBO)
% eventdata  reserved - to be defined in a future version of MATLAB
% handles    structure with handles and user data (see GUIDATA)% Hints: get(hObject,'String') returns contents of edit2 as text
%        str2double(get(hObject,'String')) returns contents of edit2 as a double
​
​
% --- Executes during object creation, after setting all properties.
function edit2_CreateFcn(hObject, eventdata, handles)
% hObject    handle to edit2 (see GCBO)
% eventdata  reserved - to be defined in a future version of MATLAB
% handles    empty - handles not created until after all CreateFcns called% Hint: edit controls usually have a white background on Windows.
%       See ISPC and COMPUTER.
if ispc && isequal(get(hObject,'BackgroundColor'), get(0,'defaultUicontrolBackgroundColor'))
    set(hObject,'BackgroundColor','white');
end
​
​
% --- Executes on button press in pushbutton6.
function pushbutton6_Callback(hObject, eventdata, handles)
% hObject    handle to pushbutton6 (see GCBO)
% eventdata  reserved - to be defined in a future version of MATLAB
% handles    structure with handles and user data (see GUIDATA)
global ttlabel;
global prelabel;
% global ct;
% global gam;
trainLabel = [];
k = 1;
v = 1;
%共280张图片
for i = 1 : 40                                  %40个人
    for j = 1 : 7                                 %每个人7张照片
        a = imread(strcat('C:\Users\lenovo\Desktop\人脸识别\人脸识别程序\ORL\s', num2str(i),'\', num2str(j), '.pgm'));
        a = double(a);
        [m,n] = size(a);
        
        trainvector = GetOneImageVector(a);
        trainX(:, k) = trainvector;
        k = k + 1;
        %加标签    
        trainLabel = [trainLabel v];            %1X280
    end
    v = v + 1;
end
%归一化  均值向量  方差向量  
trainx = Normalize(trainX);       %6440X280% ct =str2double(get(handles.edit3,'String'));
% gam = str2double(get(handles.edit4,'String'));
%使用SVM得到模型
​
model = svmtrain(trainLabel', trainx','-s 0 -t 2 -c 1000 -g 0.0001');
% set(handles.edit1,'string',model);
%处理测试集
u = 1;
t = 1;
testLabel = [];
for i = 1:40
    for j = 8:10
        a = imread(strcat('C:\Users\lenovo\Desktop\人脸识别\人脸识别程序\ORL\s', num2str(i),'\', num2str(j), '.pgm'));
        a = double(a);
        [m,n] = size(a);   
        
        testvector = GetOneImageVector(a);
        testX(:, u) = testvector;
        u = u + 1;
        testLabel = [testLabel t];
    end
     t = t + 1;
end

三、运行结果

在这里插入图片描述在这里插入图片描述在这里插入图片描述在这里插入图片描述

4 参考文献

[1]叶超. 基于Gabor小波和SVM的人脸识别算法研究[D]. 中北大学.

博主简介:擅长智能优化算法、神经网络预测、信号处理、元胞自动机、图像处理、路径规划、无人机等多种领域的Matlab仿真,有科研问题可私信交流。