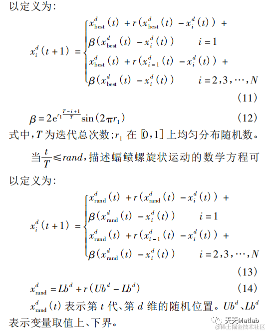
1 简介
蝠鲼觅食优化 (Manta ray foraging optimization,MRFO)是由 Zhao 等,在 2019 年提出的新型智能仿生群体算法。






2 部分代码
% __ __ __ __ __ __ __ __ __ __ __ __ _%
% 蝠鲼觅食优化算法 %
% __ __ __ __ __ __ __ __ __ __ __ __ _%
% 使用方法
% __ __ __ __ __ __ __
% fobj = @YourCostFunction 设定适应度函数
% dim = number of your variables 设定维度
% Max_iteration = maximum number of generations 设定最大迭代次数
% SearchAgents_no = number of search agents 种群数量
% lb=[lb1,lb2,...,lbn] where lbn is the lower bound of variable n 变量下边界
% ub=[ub1,ub2,...,ubn] where ubn is the upper bound of variable n 变量上边界
% If all the variables have equal lower bound you can just
% define lb and ub as two single number numbers
% To run SSA: [Best_pos,Best_score,curve]=MRFO(pop,Max_iter,lb,ub,dim,fobj)
% __ __ __ __ __ __ __
clear all
clc
SearchAgents_no=30; % Number of search agents 种群数量
Function_name='F1'; % Name of the test function that can be from F1 to F23 (Table 1,2,3 in the paper) 设定适应度函数
Max_iteration=200; % Maximum numbef of iterations 设定最大迭代次数
% Load details of the selected benchmark function
[lb,ub,dim,fobj]=Get_Functions_details(Function_name); %设定边界以及优化函数
[Best_pos,Best_score,MRFO_curve]=MRFO(SearchAgents_no,Max_iteration,fobj,lb,ub,dim); %开始优化
figure('Position',[269 240 660 290])
%Draw search space
subplot(1,2,1);
func_plot(Function_name);
title('Parameter space')
xlabel('x_1');
ylabel('x_2');
zlabel([Function_name,'( x_1 , x_2 )'])
%Draw objective space
subplot(1,2,2);
plot(MRFO_curve,'Color','r','linewidth',1.5)
title('Objective space')
xlabel('Iteration');
ylabel('Best score obtained so far');
axis tight
grid on
box on
legend('MRFO')
display(['The best solution obtained by MRFO is : ', num2str(Best_pos)]);
display(['The best optimal value of the objective funciton found by MRFO is : ', num2str(Best_score)]);
img =gcf; %获取当前画图的句柄
print(img, '-dpng', '-r600', './运行结果2.png') %即可得到对应格式和期望dpi的图像
3 仿真结果

4 参考文献
[1]凤盛强. "基于蝠鲼觅食优化算法的配电网故障区间定位." 兰州文理学院学报:自然科学版 35.1(2021):5.
### 博主简介:擅长智能优化算法、神经网络预测、信号处理、元胞自动机、图像处理、路径规划、无人机等多种领域的Matlab仿真,有科研问题可私信交流。
**部分理论引用网络文献,若有侵权联系博主删除。**
