​【优化布局】基于免疫优化算法求解物流配送中心选址matlab源码

204 阅读4分钟

1 简介

影响物流配送中心选址的因素有很多,精确选址优化问题亟待解决.通过充分考虑货物的配送时间,将免疫算法加入其中,介绍了物流配送选址模型的构建以及免疫算法实现的相关步骤,最后利用matlab软件进行分析,提出的数学模型以及免疫优化算法在收敛时间和配送选址规划方面优化的合理性得到了验证,证明所提出的解决物流配送中心选址问题的免疫优化算法的有效性.

1.1 物流模型

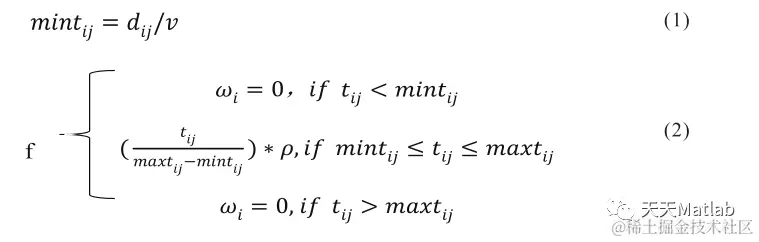
1.2 免疫算法

2 部分代码

%% 免疫优化算法在物流配送中心选址中的应用
%% 清空环境
clc
clear
%城市坐标
city_coordinate=[1304,2312;3639,1315;4177,2244;3712,1399;3488,1535;3326,1556;3238,1229;4196,1044;4312,790;4386,570;
   4356,590;3020,1870;2162,1756;2188,1291;1381,1626;1352,685;
                3007,1970;2562,1756;2788,1491;2381,1676;1332,695;3715,1678;3918,2179;4061,2370;3780,2212;3676,2578;
                4029,2838;4263,2931;3429,1908;3507,2376;3394,2643;3439,3201;2935,3240;3140,3550;2545,2357;2778,2826;2370,2975];
carge=[20,90,90,60,70,70,40,90,90,70,60,40,40,40,20,80,90,70,100,50,50,50,80,70,80,40,40,60,70,50,30];

%% 算法基本参数           
sizepop=40;           % 种群规模
overbest=10;          % 记忆库容量
MAXGEN=200;            % 迭代次数
pcross=0.5;           % 交叉概率
pmutation=0.5;        % 变异概率
ps=0.95;              % 多样性评价参数
length=6;             % 配送中心数
M=sizepop+overbest;

%% step1 识别抗原,将种群信息定义为一个结构体
individuals = struct('fitness',zeros(1,M), 'concentration',zeros(1,M),'excellence',zeros(1,M),'chrom',[]);
%% step2 产生初始抗体群
individuals.chrom = popinit(M,length);
trace=[]; %记录每代最个体优适应度和平均适应度

%% 迭代寻优
for iii=1:MAXGEN

    %% step3 抗体群多样性评价
    for i=1:M
        individuals.fitness(i) = fitness(individuals.chrom(i,:),city_coordinate,carge);      % 抗体与抗原亲和度(适应度值)计算
        individuals.concentration(i) = concentration(i,M,individuals); % 抗体浓度计算
    end
    % 综合亲和度和浓度评价抗体优秀程度,得出繁殖概率
    individuals.excellence = excellence(individuals,M,ps);
         
    % 记录当代最佳个体和种群平均适应度
    [best,index] = min(individuals.fitness);   % 找出最优适应度 
    bestchrom = individuals.chrom(index,:);    % 找出最优个体
    average = mean(individuals.fitness);       % 计算平均适应度
    trace = [trace;best,average];              % 记录
    
    %% step4 根据excellence,形成父代群,更新记忆库(加入精英保留策略,可由s控制)
    bestindividuals = bestselect(individuals,M,overbest);   % 更新记忆库
    individuals = bestselect(individuals,M,sizepop);        % 形成父代群

    %% step5 选择,交叉,变异操作,再加入记忆库中抗体,产生新种群
    individuals = Select(individuals,sizepop);                                                             % 选择
    individuals.chrom = Cross(pcross,individuals.chrom,sizepop,length);                                    % 交叉
    individuals.chrom = Mutation(pmutation,individuals.chrom,sizepop,length);   % 变异
    individuals = incorporate(individuals,sizepop,bestindividuals,overbest);                               % 加入记忆库中抗体      

end

%% 画出免疫算法收敛曲线
figure(1)
plot(trace(:,1));
hold on
plot(trace(:,2),'--');
legend('最优适应度值','平均适应度值')
title('免疫算法收敛曲线','fontsize',12)
xlabel('迭代次数','fontsize',12)
ylabel('适应度值','fontsize',12)

%% 画出配送中心选址图
%找出最近配送点
[m n]=size(city_coordinate);
for i=1:m
   distance(i,:)=dist(city_coordinate(i,:),city_coordinate(bestchrom,:)');
end
[a,b]=min(distance');

index=cell(1,length);

for i=1:length
%计算各个派送点的地址
index{i}=find(b==i);
end
figure(2)
title('最优规划派送路线')
cargox=city_coordinate(bestchrom,1);
cargoy=city_coordinate(bestchrom,2);
plot(cargox,cargoy,'rs','LineWidth',2,...
   'MarkerEdgeColor','r',...
   'MarkerFaceColor','b',...
   'MarkerSize',20)
hold on

plot(city_coordinate(:,1),city_coordinate(:,2),'o','LineWidth',2,...
   'MarkerEdgeColor','k',...
   'MarkerFaceColor','g',...
   'MarkerSize',10)

for i=1:m
   x=[city_coordinate(i,1),city_coordinate(bestchrom(b(i)),1)];
   y=[city_coordinate(i,2),city_coordinate(bestchrom(b(i)),2)];
   plot(x,y,'c');hold on
end

3 仿真结果

4 参考文献

[1]王云婷. 黑龙江省A公司物流配送中心选址研究[D]. 东北林业大学, 2019.

[2]张丹露. "基于免疫优化算法的物流配送中心选址规划研究." 北京经济管理职业学院学报 2(2020):16-21.

部分理论引用网络文献,若有侵权联系博主删除。

5 MATLAB代码与数据下载地址

见博客主页