【优化求解】基于磷虾群算法求解最优目标matlab源码

105 阅读2分钟

1 简介

磷虾群算法(Krill Herd Algorithm,KHA)是 Gandomi 等于2012年提出的一种新型优化算法 。具体原理如下:

2 部分代码

% Krill Herd Algorithm V 1.1

% Main paper:
% Gandomi A.H., Alavi A.H., Krill Herd: A New Bio-Inspired Optimization Algorithm.
% Communications in Nonlinear Science and Numerical Simulation, 

function KH
clc; close allclear all
format long

%% Initial Parameter Setting
NR = 10;                                  % Number if Runs
NK = 25;        % Number if Krills
MI = 200;                           % Maximum Iteration
C_flag = 1;                               % Crossover flag [Yes=1]

% Bounds (Normalize search space in case of highly imbalanced search space)
UB = 10*ones(1,10);
LB = -10*ones(1,10);

NP = length(LB); % Number if Parameter(s)
Dt = mean(abs(UB-LB))/2; % Scale Factor

F = zeros(NP,NK);D = zeros(1,NK);N = zeros(NP,NK); %R = zeros(NP,NK);
Vf = 0.02; Dmax = 0.005; Nmax = 0.01; Sr = 0;
%% Optimization & Simulation
for nr = 1:NR
   %Initial Krills positions
   for z1 = 1:NP
       X(z1,:) = LB(z1) + (UB(z1) - LB(z1)).*rand(1,NK);
   end
   
   for z2 = 1:NK
       K(z2)=cost(X(:,z2));
   end
   
   Kib=K;
   Xib=X;
  [Kgb(1,nr), A]min(K);
   Xgb(:,1,nr) = X(:,A);
   
   for j = 1:MI 
       % Virtual Food
       for ll = 1:NP;
           Sf(ll) = (sum(X(ll,:)./K));
       end
       Xf(:,j) = Sf./(sum(1./K)); %Food Location       
       Xf(:,j) =findlimits(Xf(:,j)',LB,UB,Xgb(:,j,nr)');% Bounds Checking
       Kf(j) = cost(Xf(:,j));
       if 2<=j
           if Kf(j-1)<Kf(j)
               Xf(:,j) = Xf(:,j-1);
               Kf(j) = Kf(j-1);
           end
       end
       
       Kw_Kgb = max(K)-Kgb(j,nr);
       w = (0.1+0.8*(1-j/MI));
       
       for i = 1:NK
           % Calculation of distances
           Rf = Xf(:,j)-X(:,i);
           Rgb = Xgb(:,j,nr)-X(:,i);
           for ii = 1:NK
               RR(:,ii) = X(:,ii)-X(:,i);
           end
           R = sqrt(sum(RR.*RR));
           
           % % % % % % % % % % % % % Movement Induced % % % % % % % % % %
        

%% Post-Processing
[Best, Ron_No]min(Kgb(end,:))
Xgb(:,end,Ron_No)
Mean = mean(Kgb(end,:))
Worst = max(Kgb(end,:))
Standard_Deviation = std(Kgb(end,:))

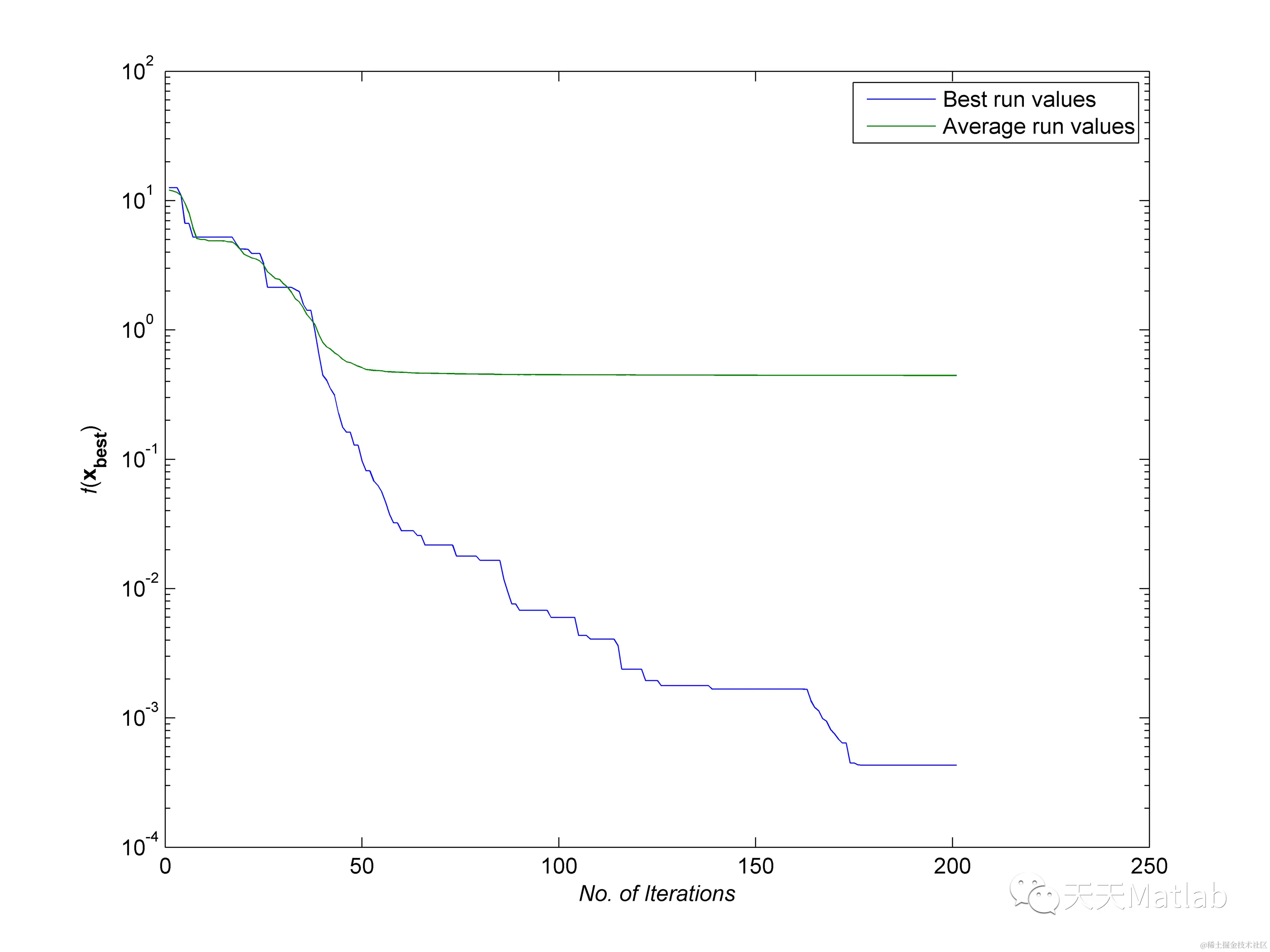
% Convergence plot of the best run
semilogy(1:MI+1,Kgb(:,Ron_No),1:MI+1,mean(Kgb'))
xlabel('{\itNo. of Iterations}')
ylabel('{\itf}({\bfx_{best}})')
legend('Best run values','Average run values')
img =gcf;  %获取当前画图的句柄
print(img, '-dpng', '-r600', './img.png')         %即可得到对应格式和期望dpi的图像

3 仿真结果

4 参考文献

[1]肖雄、高渺、陈功贵. "基于混合混沌磷虾算法的短期水火电调度研究." 计算机工程与科学 42.9(2020):12.

5 MATLAB代码与数据下载地址

见博客主页