【优化求解】基于自适应模拟退火粒子群优化算法求解单目标优化问题matlab代码

221 阅读4分钟

1 简介

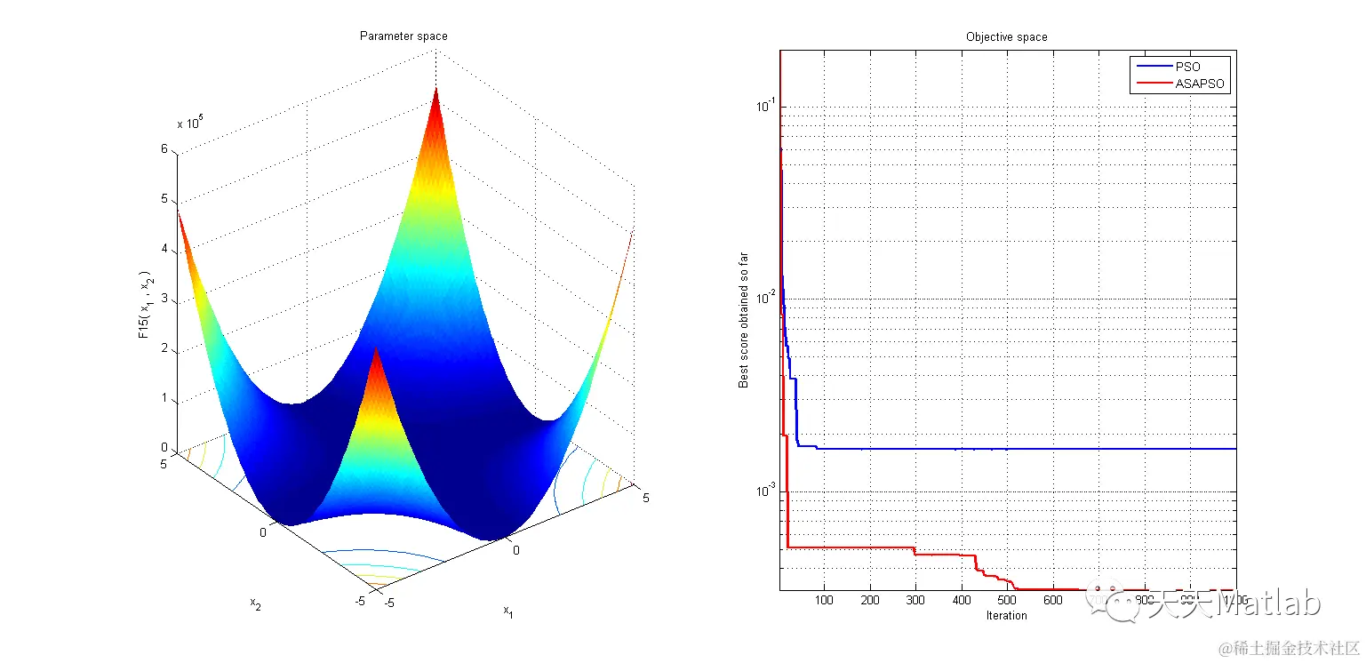
针对PSO算法在求解问题的优化问题中易陷入局部收敛且收敛速度较慢等缺陷,引入一种初始化改进策略,并将模拟退火算法与PSO算法相结合,提出了一种全新的算法.该算法将寻优过程分为两个阶段:为了提高算法的执行速度,前期使用标准PSO算法进行寻优,后期运用模拟退火思想对PSO中的参数进行优化搜索最优解.最后将该算法应用于八个经典的单峰/多峰函数中.模拟结果表明,该算法有效地避免了早熟收敛现象,并提高了收敛速度,从而提高了PSO算法解决全局优化的性能.

在现实世界里,鸟群、蜂群等动物的个体行为能力非常有限( 在粒子群中单个个体映射为粒子) ,它几乎不可能独立存在于自然世界中,而多个鸟群、蜂群等所形成的智能则是具有非常强大的生命力,并且这些生命力并不是多个个体能力的简单叠加,而是由于个体之间有一种信息的交互能力。尽管这种能力的获取到目前为止还无法使用具体的数学公式来描述,但是到目前为止,人们对这种群体行为的研究在函数优化、神经网络学习、机器学习等方面已经发挥了重大的作用。因此,研究粒子群优化算法,并且针对不同的问题对它进行改进,能够更好地发挥其作用。 由 Mark Millonas 于 1994 年提出的群智能的五大基本原则中,PSO 算法完全符合这些原则,其中有一个准则被称为适应性原则( principle of adaptability) 。这一准则的主要思想是: 当行为模式带来的回报与能量投资相比是值得的时候,群体应该改变其行为模式,以便取得更好的效果。本文主要思想是考虑到在标准的粒子群优化算法中,惯性权重、自身认知以及社会认知参数这三者在收敛效果方面起到了关键作用,从而保留标准的 PSO 算法公式,对相应系数进行自适应调整。在标准的 PSO 算法中,惯性权重通常随着迭代次数而线性减小,但是为了更好地模拟现实世界,惯性权重不能减小到接近于零。在算法初期阶段,自身认知部分占优势,社会认知部分占有一小部分,以保证算法在整个空间进行搜索,从而保证算法的全局收敛。随着迭代次数的不断增加,自身认知部分逐渐减小,与此同时,社会认知部分逐渐扩大,从而保证算法的收敛,提高其收敛的精度。本文引入模拟退火机制,将自身认知和社会认知部分进行自适应调整,以改善算法的性能,从而实现算法的全局收敛和局部收敛的有效平衡。

2 部分代码

%% 清空环境
clear
clc

%% 参数设置
w = 0.6;      % 惯性因子 
c1 = 2;       % 加速常数
c2 = 2;       % 加速常数

Dim = 3;            % 维数
SwarmSize = 100;    % 粒子群规模
ObjFun = @PSO_PID;  % 待优化函数句柄

MaxIter = 100;      % 最大迭代次数  
MinFit = 0.1;       % 最小适应值 

Vmax = 1;
Vmin = -1;
Ub = [300 300 300];
Lb = [0 0 0];

%% 粒子群初始化
   Range = ones(SwarmSize,1)*(Ub-Lb);
   Swarm = rand(SwarmSize,Dim).*Range + ones(SwarmSize,1)*Lb      % 初始化粒子群
   VStep = rand(SwarmSize,Dim)*(Vmax-Vmin) + Vmin                 % 初始化速度
   fSwarm = zeros(SwarmSize,1);
for i=1:SwarmSize
   fSwarm(i,:) = feval(ObjFun,Swarm(i,:));                         % 粒子群的适应值
end

%% 个体极值和群体极值
[bestf bestindex]=min(fSwarm);
zbest=Swarm(bestindex,:);   % 全局最佳
gbest=Swarm;                % 个体最佳
fgbest=fSwarm;              % 个体最佳适应值
fzbest=bestf;               % 全局最佳适应值

%% 迭代寻优
iter = 0;
y_fitness = zeros(1,MaxIter);   % 预先产生4个空矩阵
K_p = zeros(1,MaxIter);         
K_i = zeros(1,MaxIter);
K_d = zeros(1,MaxIter);
while( (iter < MaxIter) && (fzbest > MinFit) )
   for j=1:SwarmSize
       % 速度更新
       VStep(j,:) = w*VStep(j,:) + c1*rand*(gbest(j,:) - Swarm(j,:)) + c2*rand*(zbest - Swarm(j,:));
       if VStep(j,:)>Vmax, VStep(j,:)=Vmax; end
       if VStep(j,:)<Vmin, VStep(j,:)=Vmin; end
       % 位置更新
       Swarm(j,:)=Swarm(j,:)+VStep(j,:);
       for k=1:Dim
           if Swarm(j,k)>Ub(k), Swarm(j,k)=Ub(k); end
           if Swarm(j,k)<Lb(k), Swarm(j,k)=Lb(k); end
       end
       % 适应值
       fSwarm(j,:) = feval(ObjFun,Swarm(j,:));
       % 个体最优更新     
       if fSwarm(j) < fgbest(j)
           gbest(j,:) = Swarm(j,:);
           fgbest(j) = fSwarm(j);
       end
       % 群体最优更新
       if fSwarm(j) < fzbest
           zbest = Swarm(j,:);
           fzbest = fSwarm(j);
       end
   end 
   iter = iter+1;                      % 迭代次数更新
   y_fitness(1,iter) = fzbest;         % 为绘图做准备
   K_p(1,iter) = zbest(1);
   K_i(1,iter) = zbest(2);
   K_d(1,iter) = zbest(3);
end

legend('Kp','Ki','Kd',1);

3 仿真结果

4 参考文献

[1]于海平, 刘会超, and 吴志健. "基于模拟退火的自适应粒子群优化算法的改进策略." 计算机应用研究 29.12(2012):3.

部分理论引用网络文献,若有侵权联系博主删除。

5 MATLAB代码与数据下载地址

见博客主页