【优化求解】基于被囊群算法Tunicate Swarm Algorithm (TSA)求解单目标问题matlab源码

226 阅读1分钟

1 简介

2 部分代码

clear all 
clc
SearchAgents=30; 
Fun_name='F2';  
Max_iterations=1000[lowerbound,upperbound,dimension,fitness]=fun_info(Fun_name);
[Best_score,Best_pos,TSA_curve]=tsa(SearchAgents,Max_iterations,lowerbound,upperbound,dimension,fitness);


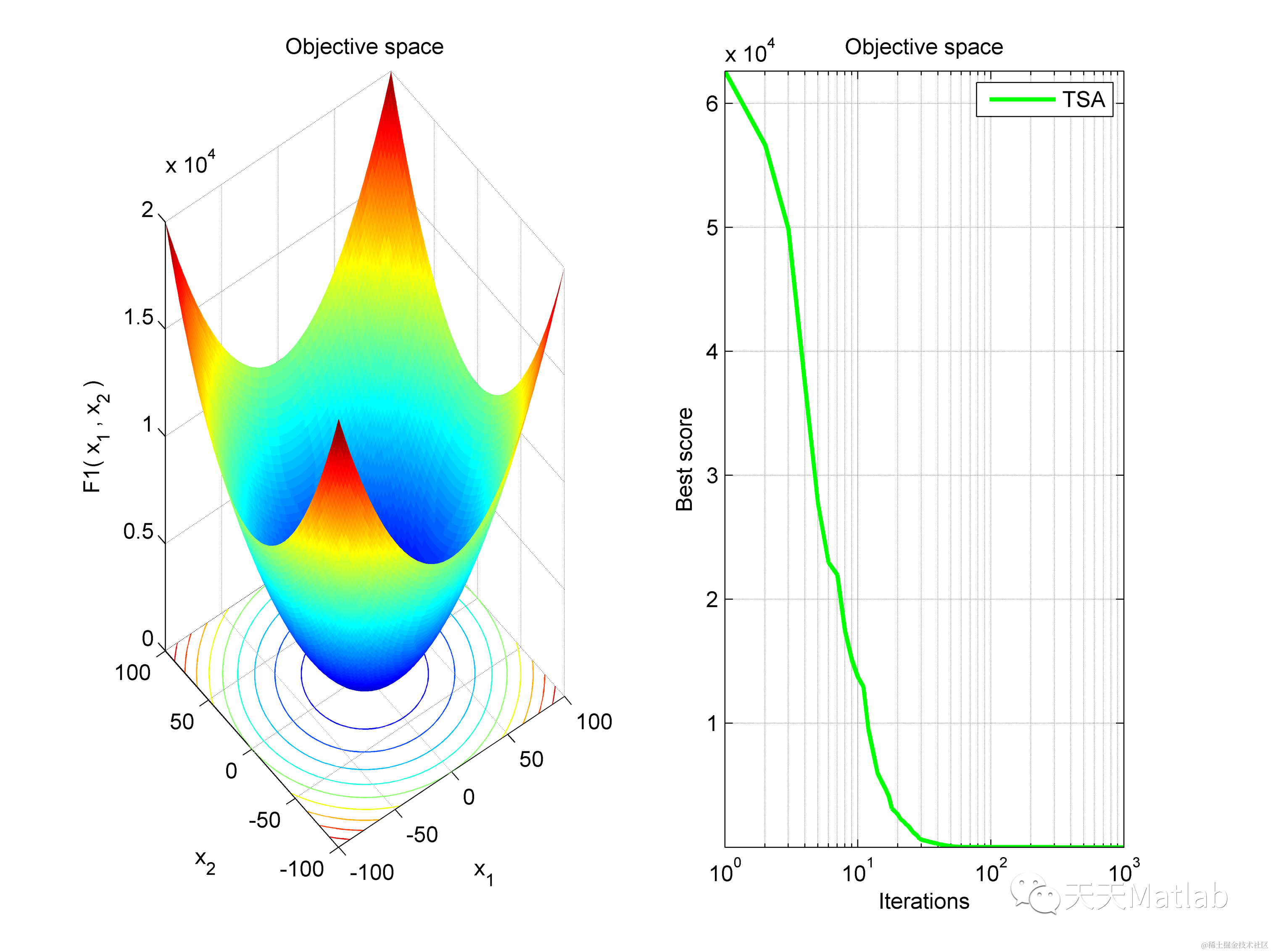
figure('Position',[500 500 660 290])

subplot(1,2,1);
func_plot(Fun_name);
title('Objective space')
xlabel('x_1');
ylabel('x_2');
zlabel([Fun_name,'( x_1 , x_2 )'])

subplot(1,2,2);
plots=semilogx(TSA_curve,'Color','g');
set(plots,'linewidth',2)
hold on
title('Objective space')
xlabel('Iterations');
ylabel('Best score');

axis tight
grid on
box on
legend('TSA')
img =gcf;  %获取当前画图的句柄
print(img, '-dpng', '-r600', './img2.png')         %即可得到对应格式和期望dpi的图像
display(['The best solution obtained by TSA is : ', num2str(Best_pos)]);
display(['The best optimal value of the objective funciton found by TSA is : ', num2str(Best_score)]);

       

3 仿真结果

4 参考文献

[1]屈迟文, 彭小宁. 信息共享的记忆被囊群算法[J]. 模式识别与人工智能.​

5 MATLAB代码与数据下载地址

见博客主页